| Обозначение: |  ГОСТ 12.4.034-2017 |
| Статус: | действующий |
| Название рус.: | Система стандартов безопасности труда. Средства индивидуальной защиты органов дыхания. Классификация и маркировка |
| Название англ.: | Occupational safety standards system. Respiratory protective equipment. Classification and marking |
| Дата актуализации текста: | 01.06.2022 |
| Дата актуализации описания: | 01.01.2021 |
| Дата регистрации: | 12.12.2017 |
| Дата издания: | 29.04.2019 |
| Дата введения: | 01.07.2018 |
| Взамен: | ГОСТ 12.4.034-2001 |
| Нормативные ссылки: | ГОСТ 12.4.299 |
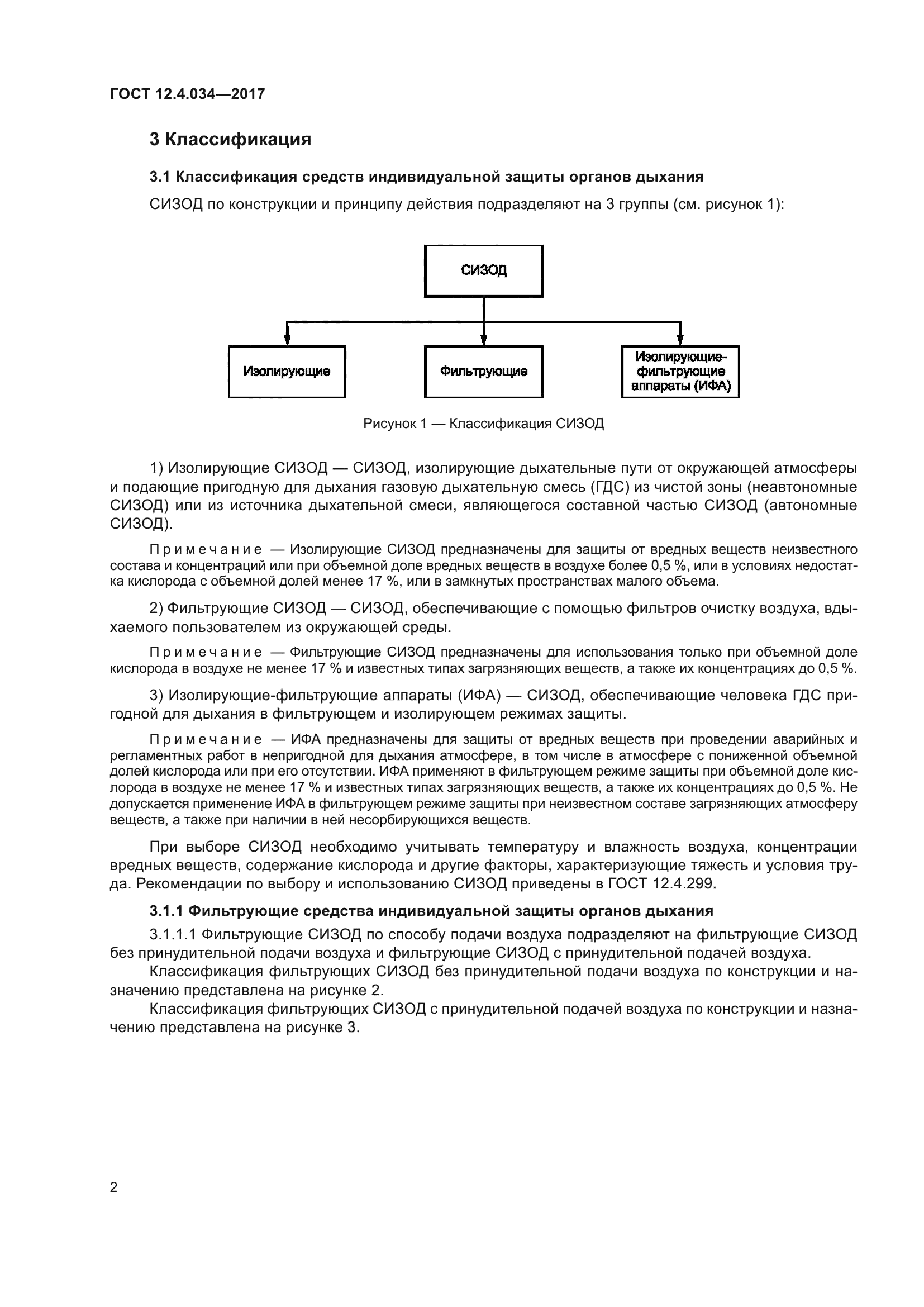
| Область применения: | Настоящий стандарт распространяется на средства индивидуальной защиты органов дыхания (СИЗОД) и устанавливает классификацию и маркировку СИЗОД, а также классификацию комплектующих изделий |
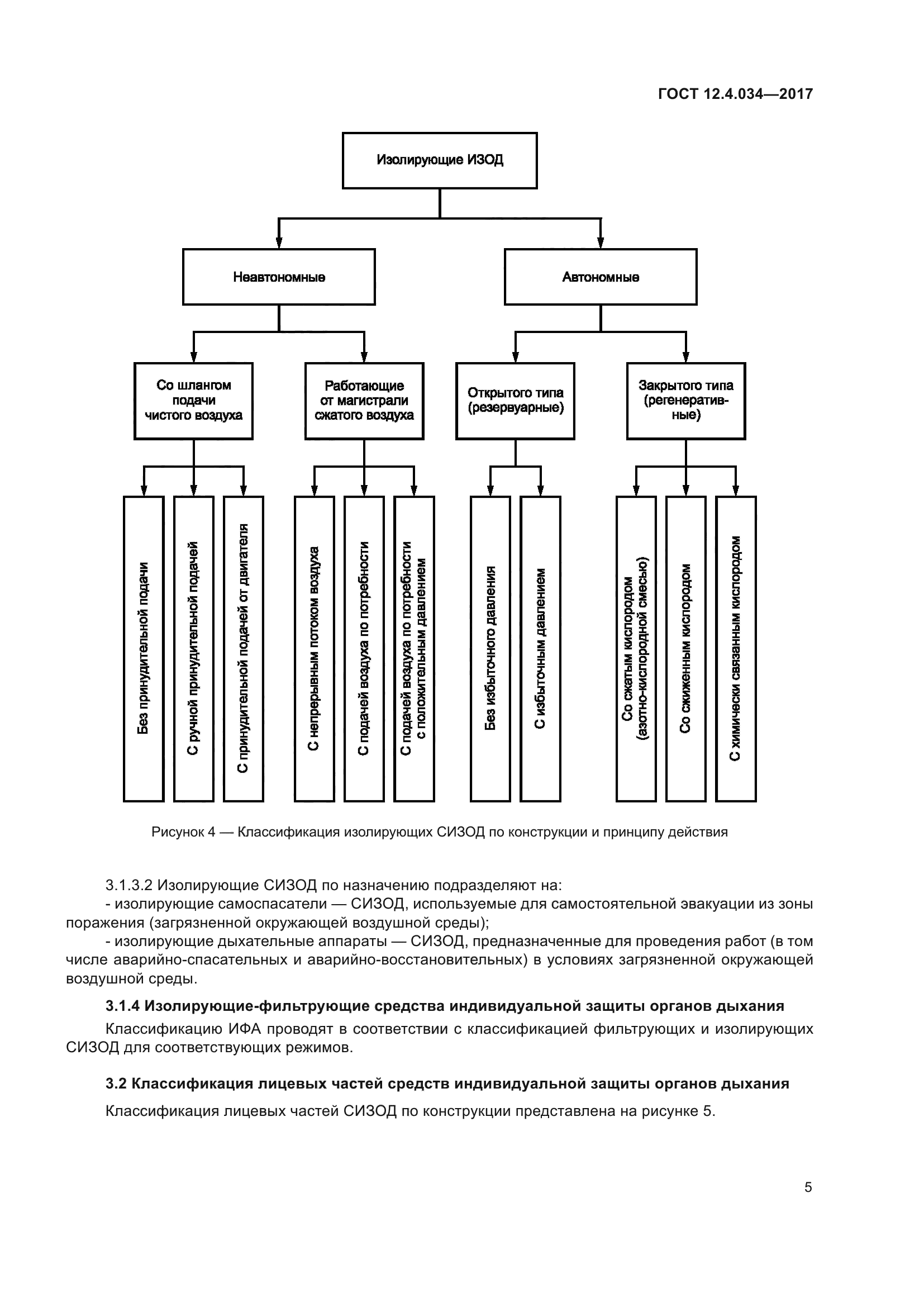
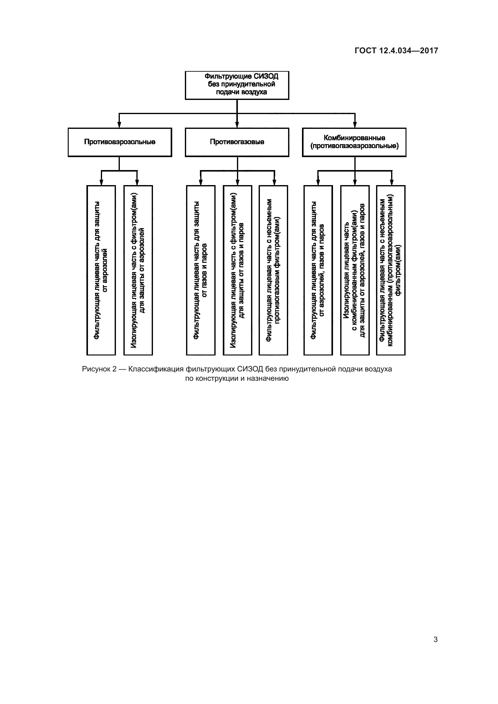
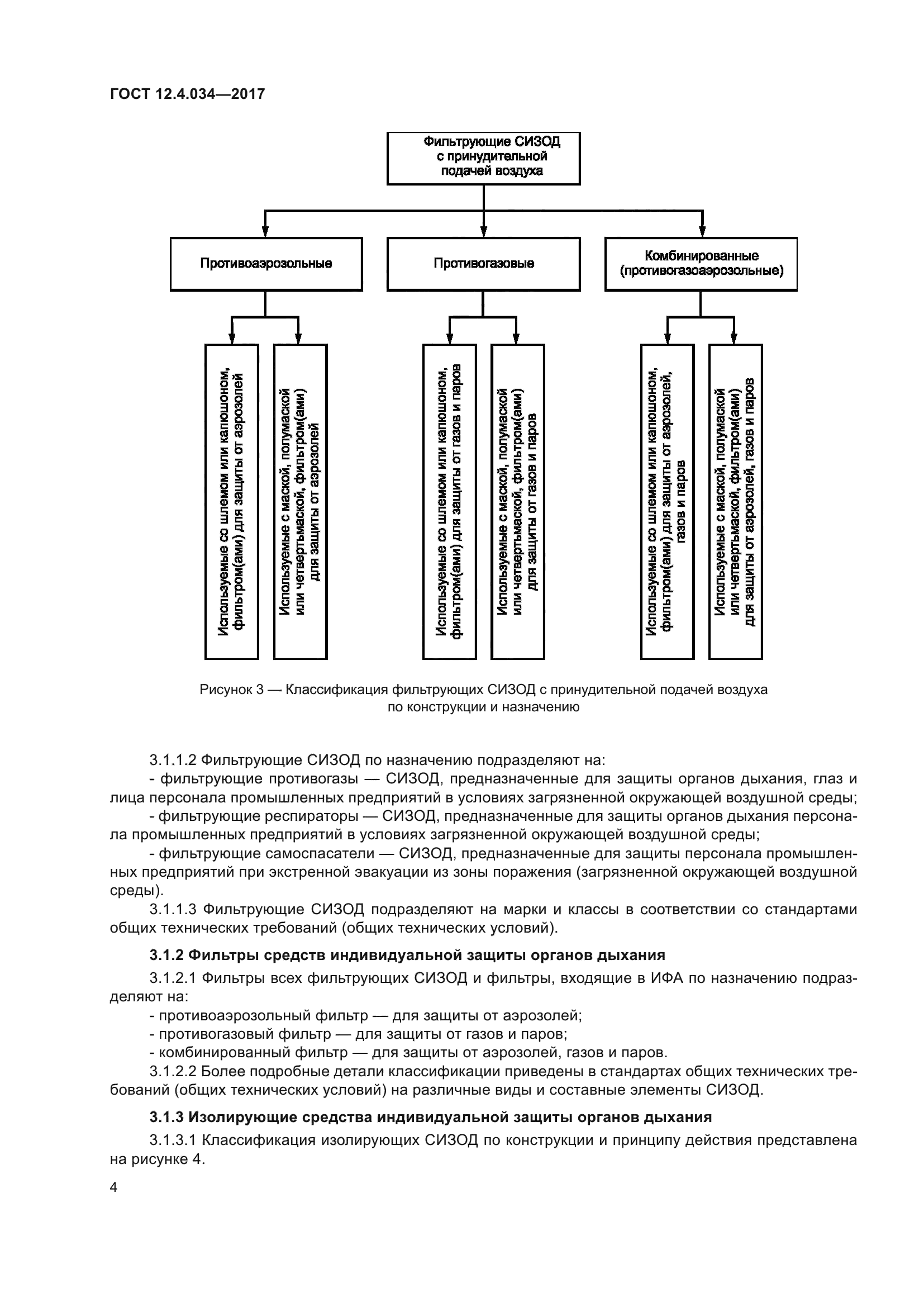
|