| Обозначение: |  ГОСТ Р 57871-2017 |
| Статус: | действующий |
| Название рус.: | Телевидение вещательное цифровое. Расширенная спецификация общего интерфейса в системах ограничения доступа CI Plus tm. Система управления контентом. Основные параметры |
| Название англ.: | Digital video broadcasting. Extensions to the CI Plus tm. Specifications. Content control system. Basic parameters |
| Дата актуализации текста: | 01.01.2021 |
| Дата актуализации описания: | 01.07.2023 |
| Дата издания: | 18.05.2020 |
| Дата введения: | 01.08.2018 |
| Нормативные ссылки: | ГОСТ Р 52591; ГОСТ Р 53528; ГОСТ Р 56950 |
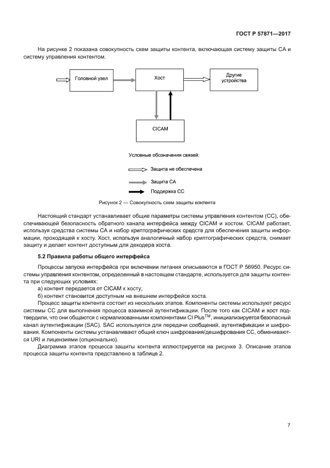
| Область применения: | Спецификация общего интерфейса CI Plus tm системы условного доступа, установленная стандартом ГОСТ Р 56950, обеспечивает защиту информации, передаваемой по каналам вещания и по каналам Интернет протокола от головного узла до дескремблера TS системы ограничения доступа. Настоящий стандарт дополняет ГОСТ Р 56950 и устанавливает основные параметры системы управления контентом, работающей в составе системы безопасной передачи информации через обратный канал общего интерфейса |
|