| Обозначение: |  ГОСТ Р 57873-2017 |
| Статус: | действующий |
| Название рус.: | Телевидение вещательное цифровое. Система TV-Anytime. Протоколы передачи метаданных по двунаправленной сети. Основные параметры |
| Название англ.: | Digital Video Broadcasting. System TV-Anytime. Metadata transmission protocols over a bi-directional network. Basic parameters |
| Дата актуализации текста: | 01.01.2021 |
| Дата актуализации описания: | 01.07.2023 |
| Дата издания: | 21.05.2020 |
| Дата введения: | 01.08.2018 |
| Код ОКП: | 657400 |
| Нормативные ссылки: | ГОСТ Р 52210; ГОСТ Р 56476; ГОСТ Р 56952 |
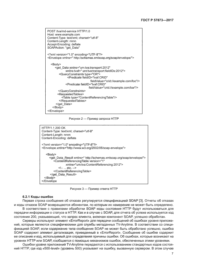
| Область применения: | Настояший стандарт является одним из серии стандартов, нормирующих систему TV-Anytime, в том числе архитектуру и параметры составных частей этой системы. Настояший стандарт нормирует параметры протоколов передачи метаданных между устройствами TV-Anytime по двунаправленной сети и описывает возможности служб метаданных системы TV-Anytime. Использование стандарта в оборудовании и программном обеспечении каналов и сетей TV-Anytime создает условия для эффективной эксплуатации служб системы TV-Anytime |
|