| Обозначение: |  ГОСТ Р 57942-2017 |
| Статус: | действующий |
| Название рус.: | Шпунт композитный полимерный. Общие технические требования и методы испытаний |
| Название англ.: | Polymer composite sheet piles. General technical requirements and test methods |
| Дата актуализации текста: | 01.01.2021 |
| Дата актуализации описания: | 01.07.2023 |
| Дата издания: | 30.11.2017 |
| Дата введения: | 01.05.2018 |
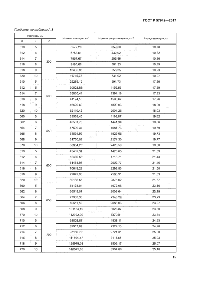
| Нормативные ссылки: | ГОСТ 9.708; ГОСТ 9.719–94; ГОСТ 12.1.044; ГОСТ 166; ГОСТ 427; ГОСТ 4233; ГОСТ 4650-2014; ГОСТ 4651-2014; ГОСТ 7470; ГОСТ 7502; ГОСТ 9378; ГОСТ 11358; ГОСТ 12020; ГОСТ 14359-69; ГОСТ 24297; ГОСТ 30244; ГОСТ 32656-2014; ГОСТ 32657; ГОСТ 32794; ГОСТ 33344-2015; ГОСТ 33349; ГОСТ 33350; ГОСТ 33845; ГОСТ Р 53228; ГОСТ Р 56786; ГОСТ Р 56800; ГОСТ Р 56810; ГОСТ Р 57713; ГОСТ Р 57714; ГОСТ Р 57715;СП 50.13330;СП 131.13330 |
| Область применения: | Настоящий стандарт распространяется на полимерные композитные шпунты (далее – композитные шпунты), предназначенные для применения при сооружении шпунтовых ограждений различного назначения в гидротехническом, транспортном, промышленном и гражданском строительстве |
|