| Обозначение: |  ГОСТ Р 57930-2017 |
| Статус: | действующий |
| Название рус.: | Композиты полимерные. Определение профиля поверхности при экспонировании в климатических условиях с помощью 3D-микроскопии |
| Название англ.: | Polymer composites. Determination of surface profile at exposure in climatic conditions through 3D microscopy |
| Дата актуализации текста: | 01.01.2021 |
| Дата актуализации описания: | 01.07.2023 |
| Дата издания: | 23.11.2017 |
| Дата введения: | 01.06.2018 |
| Нормативные ссылки: | ГОСТ 9.906; ГОСТ 32794; ГОСТ Р ИСО 4287 |
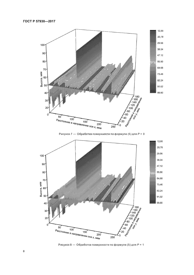
| Область применения: | Настоящий стандарт распространяется на полимерные композиты, армированные непрерывными или дискретными волокнами. Стандарт устанавливает методы определения характеристик поверхности ПК при экспонировании в климатических условиях с помощью оптической 3D-микроскопии. Стандарт устанавливает два метода определения характеристик поверхности: анализ профилей поверхности (метод А) и анализ всей поверхности (метод Б) |
|