Скачать ГОСТ 34284-2017 Продукты пищевые, корма, продовольственное сырье, объекты биологические животного происхождения. Метод обнаружения анаболических стимуляторов роста с помощью иммуноферментного анализа с хемилюминесцентной детекцией с использованием технологии биочиповДата актуализации: 01.06.2025 ГОСТ 34284-2017
Продукты пищевые, корма, продовольственное сырье, объекты биологические животного происхождения. Метод обнаружения анаболических стимуляторов роста с помощью иммуноферментного анализа с хемилюминесцентной детекцией с использованием технологии биочипов
| Обозначение: |  ГОСТ 34284-2017 |
| Статус: | действующий |
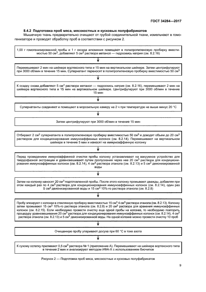
| Название рус.: | Продукты пищевые, корма, продовольственное сырье, объекты биологические животного происхождения. Метод обнаружения анаболических стимуляторов роста с помощью иммуноферментного анализа с хемилюминесцентной детекцией с использованием технологии биочипов | | Название англ.: | Food products, feed, food raw materials, biological objects of animal origin. Method for the detection of anabolic growth promoters by the hemiluminescence immunoenzymatic assay with the use of biochip technology | | Дата актуализации текста: | 01.01.2021 | | Дата актуализации описания: | 01.07.2023 | | Дата регистрации: | 25.09.2017 | | Дата издания: | 28.11.2018 | | Дата введения: | 01.01.2019 | | Нормативные ссылки: | ГОСТ 12.1.004-91; ГОСТ 12.1.007-76; ГОСТ 12.1.019-79; ГОСТ Р 12.1.019-2009; ГОСТ 61-75;ГОСТ OIML R 76-1-2011; ГОСТ 1770-74; ГОСТ 2652-78; ГОСТ 3118-77; ГОСТ 4204-77; ГОСТ 4328-77; ГОСТ 5962-2013;ГОСТ ISО 6497-2014; ГОСТ 6709-72; ГОСТ 7269-2015; ГОСТ 12026-76; ГОСТ 13496.0-2016; ГОСТ 25336-82 | | Область применения: | Настоящий стандарт распространяется на пищевые продукты в части мяса всех видов животных (включая бескостное, парное, охлажденное, замороженное, и размороженное), мясокостный и кусковой полуфабрикаты, корма, а также биологические объекты животного происхождения (мочу) и устанавливает иммуноферментный метод с хемилюминесцентной детекцией обнаружения с использованием биочипов в-агонистов (кленбутерол, карбутерол, бромбутерол, салбутамол, метилкленбутерол, тербуталин, мабутерол, пирбутерол, мапентерол, кимбутерол), болденона, кортикостероидов (дексаметазон, флюметазон, бетаметазон), нандролона, рактопамина, станозолола, стильбенов (диэтилстилбестрол, гексэстрол), тренболона, зеранола | | Приложение №1: | Поправка к ГОСТ 34284-2017 | |
                
Поправка к ГОСТ 34284-2017
| Обозначение: | Поправка к ГОСТ 34284-2017 |
| Дата введения: | 08.11.2019 |
|