Скачать ГОСТ Р 57870.2-2017 Телевидение вещательное цифровое. Вспомогательные дисплеи и потоки. Часть 2. Интерфейсы, архитектура идентификации и вспомогательной синхронизации, процедурыДата актуализации: 01.06.2025 ГОСТ Р 57870.2-2017
Телевидение вещательное цифровое. Вспомогательные дисплеи и потоки. Часть 2. Интерфейсы, архитектура идентификации и вспомогательной синхронизации, процедуры
| Обозначение: |  ГОСТ Р 57870.2-2017 |
| Статус: | действующий |
| Название рус.: | Телевидение вещательное цифровое. Вспомогательные дисплеи и потоки. Часть 2. Интерфейсы, архитектура идентификации и вспомогательной синхронизации, процедуры | | Название англ.: | Digital Video Broadcasting (DVB). Companion Screens and Streams. Part 2. Interfaces, architecture for identification and companion synchronization, procedures | | Дата актуализации текста: | 01.01.2021 | | Дата актуализации описания: | 01.07.2023 | | Дата издания: | 17.06.2020 | | Дата введения: | 01.08.2018 | | Код ОКП: | 657400 | | Нормативные ссылки: | ГОСТ Р 52210; ГОСТ Р 52591; ГОСТ Р 54994 | | Область применения: | Настоящий стандарт является второй частью в группе стандартов, определяющих правила использования новых дополнительных медийных услуг на вспомогательных дисплеях (смартфоны, планшеты и т.п.), дополняющих основной контент, отобража-емый на телевизионном устройстве (ТВ-устройство). Настоящий стандарт определяет архитектуру идентификации и вспомогательной синхронизации с использованием интерфейсов между ТВ-устройством и приложением вспомогательного дисплея. В настоящем стандарте описаны основные процедуры, относящиеся к интерфейсам. Требования настоящего стандарта следует учитывать при разработке, изготовлении и эксплуатации устройств и систем, использующих вспомогательные дисплеи | |
                
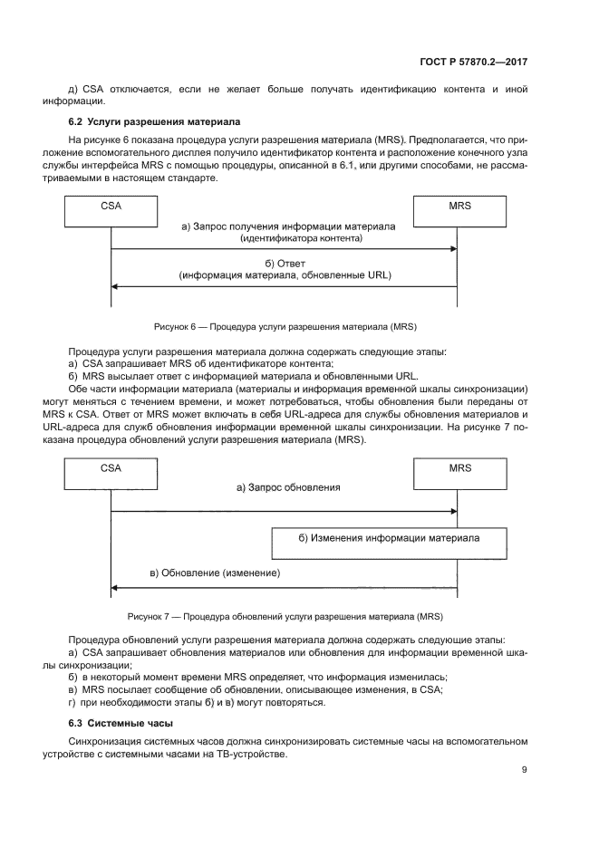
|