| Обозначение: |  ГОСТ Р 57848-2017 |
| Статус: | действующий |
| Название рус.: | Информатизация здоровья. Связь с медицинскими приборами индивидуального контроля состояния здоровья. Часть 10417. Специализация прибора. Глюкометр |
| Название англ.: | Health informatics. Personal health device communication. Part 10417. Device specialization. Glucose meter |
| Дата актуализации текста: | 01.01.2018 |
| Дата актуализации описания: | 01.01.2021 |
| Дата издания: | 29.11.2017 |
| Дата введения: | 01.07.2019 |
| Аутентичен стандартам: | ISO/IEEE 11073-10417:2014 |
| Нормативные ссылки: | ISO/IEEE 11073-20601:2010;IEEE Std 11073-20601аTM-2010 |
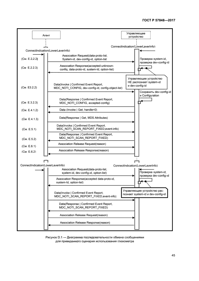
| Область применения: | В рамках комплекса стандартов ISO/IEEE 11073 по взаимосвязи с медицинскими приборами настоящий стандарт устанавливает нормативное определение взаимосвязи между персональными телемедицинскими глюкометрами и вычислительными устройствами (например, сотовыми телефонами, персональными компьютерами, индивидуальными медицинскими приборами или цифровыми приставками), обеспечивающей интероперабельность с автоматическим конфигурированием. В настоящем стандарте использованы материалы из других стандартов комплекса ISO/IEEE 11073, включая терминологию, информационные модели, прикладные профили и стандарты транспортного уровня. Настоящий стандарт определяет использование кодировки специальных терминов, форматов и режимов работы в условиях применения средств телемедицины, ограничивающих возможности базовых конфигураций для обеспечения интероперабельности. Настоящий стандарт определяет общую основу функциональности взаимосвязей для персональных телемедицинских глюкометров |
|