Скачать ГОСТ Р 57851.3-2017 Смесь газоконденсатная. Часть 3. Конденсат газовый нестабильный. Определение компонентно-фракционного состава методом газовой хроматографии без предварительного разгазирования пробыДата актуализации: 01.06.2025 ГОСТ Р 57851.3-2017
Смесь газоконденсатная. Часть 3. Конденсат газовый нестабильный. Определение компонентно-фракционного состава методом газовой хроматографии без предварительного разгазирования пробы
| Обозначение: |  ГОСТ Р 57851.3-2017 |
| Статус: | действующий |
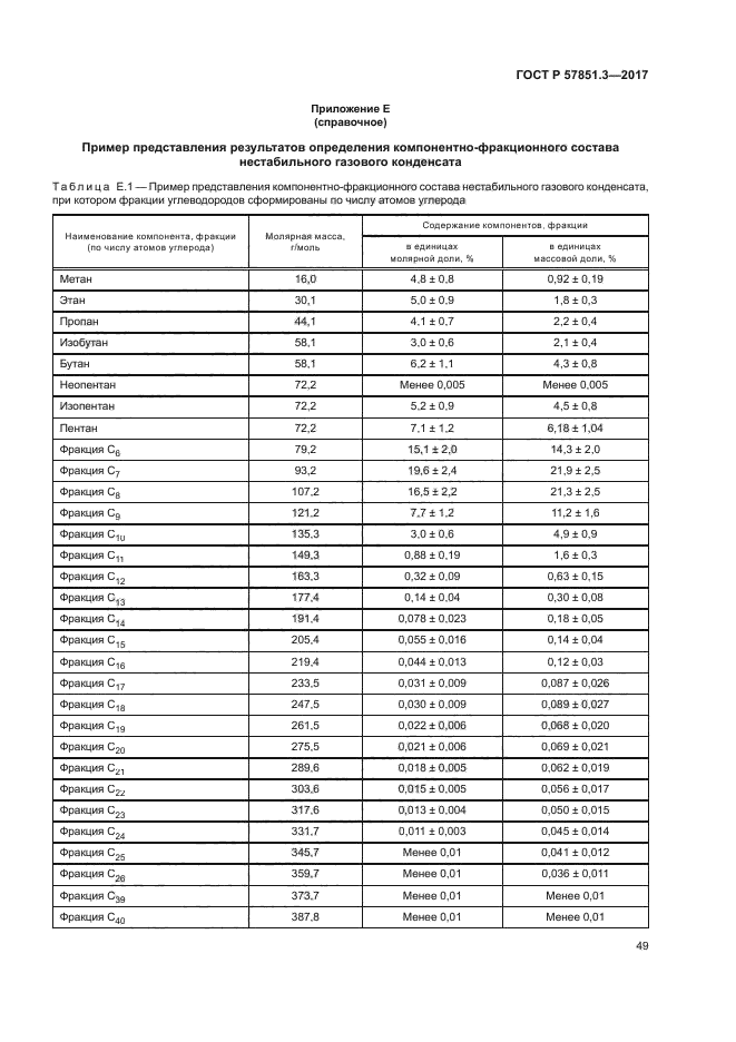
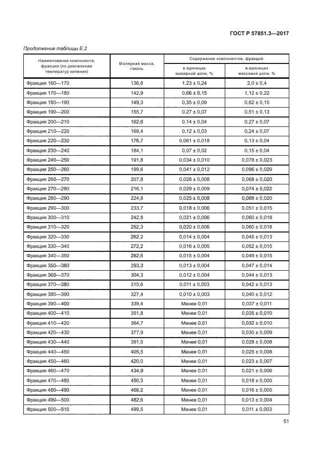
| Название рус.: | Смесь газоконденсатная. Часть 3. Конденсат газовый нестабильный. Определение компонентно-фракционного состава методом газовой хроматографии без предварительного разгазирования пробы | | Название англ.: | Gas-condensate mixture. Part 3. Unstable gas condensate. Compositional analysis by gas chromatography method without preliminary sample degasification | | Дата актуализации текста: | 01.01.2018 | | Дата актуализации описания: | 01.07.2023 | | Дата издания: | 04.12.2017 | | Дата введения: | 01.01.2019 | | Нормативные ссылки: | ГОСТ 12.0.004; ГОСТ 12.1.005; ГОСТ 12.1.007; ГОСТ 12.4.021; ГОСТ 4330; ГОСТ 13861; ГОСТ 17433; ГОСТ 17567; ГОСТ 22387.2-2014; ГОСТ 28498; ГОСТ 30852.19; ГОСТ Р ИСО 5725-1; ГОСТ Р ИСО 5725-6; ГОСТ Р ИСО 14001; ГОСТ Р 51673; ГОСТ Р 55609; ГОСТ Р 57851.2-2017; ГОСТ Р 57851.4-2017 | | Область применения: | Настоящий стандарт устанавливает определение молярной и массовой долей неуглеводородных компонентов (азота, диоксида углерода), индивидуальных углеводородов от С1 до н-С5, фракций углеводородов от С6 до С44 (или до С12+высшие), метанола, серосодержащих соединений (сероводорода, карбонилсульфида, дисульфида углерода, индивидуальных меркаптанов С1 - С4, сульфидов, производных тиофена) в пробе нестабильного газового конденсата методом газовой хроматографии в диапазонах, приведенных в таблице 1. Метод применяют для определения компонентно-фракционного состава проб нестабильного газового конденсата в одну стадию без их предварительного разгазирования прямым вводом пробы в хроматограф под давлением. Метод используют в аналитических (испытательных) лабораториях и узлах измерений количества нестабильного газового конденсата предприятий и организаций по добыче и переработке сырья газоконденсатных и нефтегазоконденсатных месторождений, контролирующих физико-химические свойства нестабильного газового конденсата для целей учета и анализа показателей разработки месторождений, планирования добычи и переработки углеводородного сырья | |
                                                        
|