| Обозначение: |  ГОСТ Р 57872-2017 |
| Статус: | действующий |
| Название рус.: | Телевидение вещательное цифровое. Система TV-Anytime. Передача метаданных по двунаправленной сети. Технология замены персонального профиля. Основные параметры |
| Название англ.: | Digital Video Broadcasting. System TV-Anytime. Delivery of metadata over a bi-directional network. The technology of changing the personal profile. Basic parameters |
| Дата актуализации текста: | 01.01.2021 |
| Дата актуализации описания: | 01.01.2021 |
| Дата издания: | 15.07.2020 |
| Дата введения: | 01.08.2018 |
| Нормативные ссылки: | ГОСТ Р 56454 |
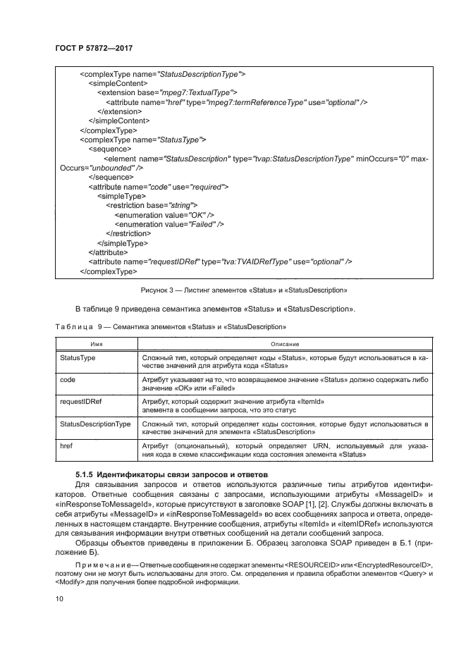
| Область применения: | Настоящий стандарт определяет технологии запросов метаданных и представления данных о персональном профиле клиента на основе IP и web-служб. Настоящий стандарт специфицирует параметры процесса инициации средств для запроса метаданных TV-Anytime из служб метаданных, базирующихся на IP, а также предоставляет сценарии обслуживания |
| Список изменений: | №0 от 15.02.2018 (рег. 15.02.2018) «Дата введения перенесена» |
| Приложение №1: | Поправка к ГОСТ Р 57872-2017 |
|