| Обозначение: |  ГОСТ 34240-2017 |
| Статус: | действующий |
| Название рус.: | Топлива авиационные. Вычисление низшей теплоты сгорания |
| Название англ.: | Aviation fuels. Estimation of net heat of combustion |
| Дата актуализации текста: | 01.01.2026 |
| Дата актуализации описания: | 01.07.2023 |
| Дата регистрации: | 30.08.2017 |
| Дата издания: | 27.09.2019 |
| Дата введения: | 01.07.2019 |
| Аутентичен стандартам: | ASTM D 4529-17 |
| Нормативные ссылки: | ASTM D 129;ASTM D 240;ASTM D 611;ASTM D 910;ASTM D 941;ASTM D 1217;ASTM D 1250;ASTM D 1266;ASTM D 1298;ASTM D 1405;ASTM D 1655;ASTM D 2622;ASTM D 3120;ASTM D 3338;ASTM D 4052;ASTM D 4294;ASTM D 4809;ASTM D 5453;ASTM D 6227;ASTM D 6615;ASTM D 7039;ASTM D 7223;ASTM D 7547;ASTM D 7566;ASTM D 7592;MIL-DTL-5624;MIL-DTL-83133 |
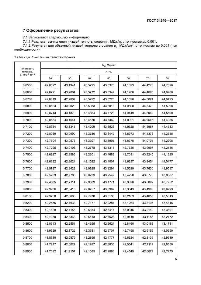
| Область применения: | Настоящий стандарт устанавливает вычисление низшей теплоты сгорания при постоянном давлении, которую выражают в единицах СИ в мегаджоулях на килограмм. Настоящий метод является расчетным и применяется только для жидких углеводородных топлив, полученных при переработке нефти и соответствующих требованиям спецификаций на авиационные бензины или авиационные топлива для турбореактивных и реактивных двигателей с ограниченными диапазонами кипения и составами, приведенными в примечании 1 |
| Список изменений: | №0 от 14.03.2018 (рег. 14.03.2018) «Дата введения перенесена» |
| Приложение №1: | Поправка к ГОСТ 34240-2017 |
| Приложение №2: | Поправка к ГОСТ 34240-2017 |
| Приложение №3: | Поправка к ГОСТ 34240-2017 |
| Приложение №4: | Поправка к ГОСТ 34240-2017 |
|