| Обозначение: |  ГОСТ Р 57657-2017 |
| Статус: | заменён |
| Название рус.: | Пространственные данные. Спецификация информационного продукта |
| Название англ.: | Spatial data. Data product specifications |
| Дата актуализации текста: | 01.01.2021 |
| Дата актуализации описания: | 01.06.2025 |
| Дата издания: | 30.11.2018 |
| Дата введения: | 01.06.2018 |
| Дата окончания срока действия: | 01.02.2025 |
| Заменяющий: | ГОСТ Р 70846.13-2024 |
| Содержит требования: | ISO 19131:2007 |
| Нормативные ссылки: | ГОСТ 7.75-97; ГОСТ Р 57668; ГОСТ Р 57656; ГОСТ Р 57773 |
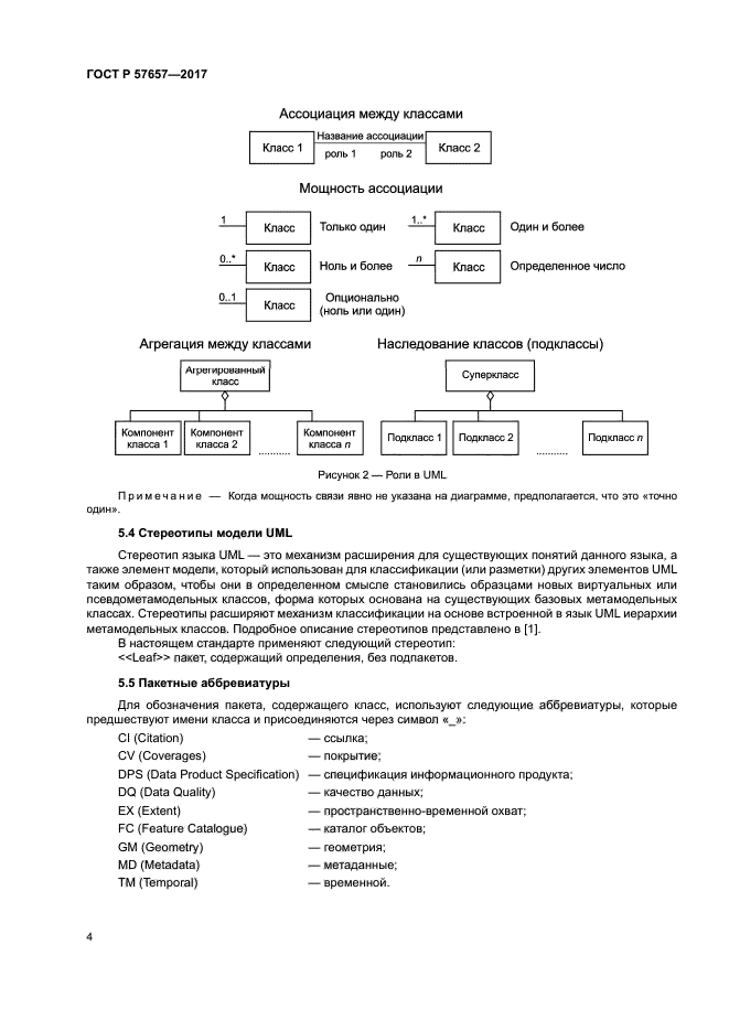
| Область применения: | Настоящий стандарт устанавливает требования к спецификации информационного продукта в области пространственных данных, основанные на концепциях других нормативных документов [1]-[8]. Настоящий стандарт предназначен для создания спецификаций в целях их четкого и ясного изложения и дальнейшего использования по назначению |
|