Скачать ГОСТ 31446-2017 Трубы Стальные обсадные и насосно-компрессорные для нефтяной и газовой промышленности. Общие технические условияДата актуализации: 01.06.2025
| ||||||||||||||||||||||||||||||||||||||||||||
| Обозначение: | ![]() ГОСТ 31446-2017 |
| Статус: | действующий |
| Название рус.: | Трубы Стальные обсадные и насосно-компрессорные для нефтяной и газовой промышленности. Общие технические условия |
| Название англ.: | Steel casing and tubing for petroleum and natural gas industries. General specifications |
| Дата актуализации текста: | 01.01.2024 |
| Дата актуализации описания: | 01.07.2023 |
| Дата регистрации: | 30.06.2017 |
| Дата издания: | 29.08.2017 |
| Дата введения: | 01.07.2018 |
| Код ОКП: | 132100;132700 |
| Взамен: | ГОСТ 31446-2012 |
| Содержит требования: | ISO 11960:2014 |
| Нормативные ссылки: | ГОСТ 10692-2015; ГОСТ 16504-81; ГОСТ 28548-90; ГОСТ 33758-2016;ГОСТ ISO 9000-2011; ГОСТ 34057-2017; ГОСТ 34380-2017 |
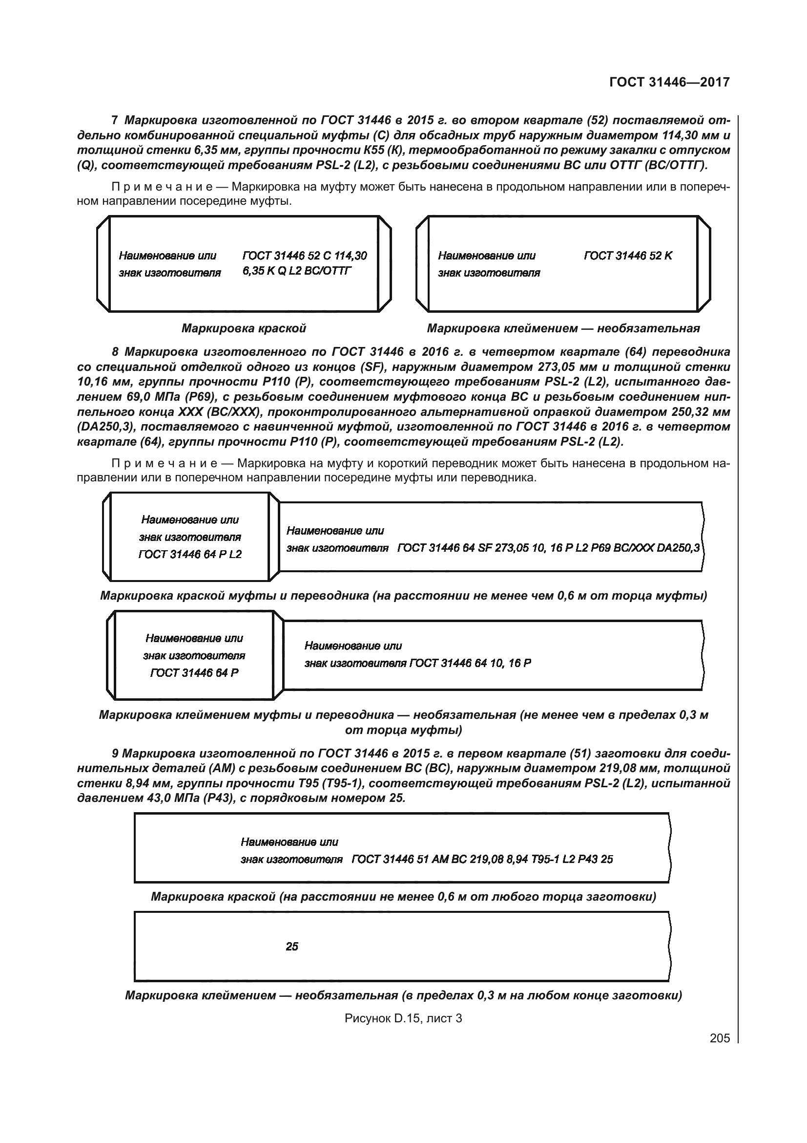
| Область применения: | Настоящий стандарт распространяется на стальные трубы (обсадные и насосно-компрессорные трубы, трубы без резьбы, короткие трубы, переводники), муфты, трубные заготовки для муфт и заготовки для соединительных деталей, изготавливаемые по трем уровням требований PSL-1, PSL-2 и PSL-3. Установленные в настоящем стандарте требования являются требованиями PSL-1. Требования PSL-2 и PSL-3 для всех групп прочности, кроме Н40, L80 тип 9Cr и С110, приведены в приложениях E и G. Размеры, масса, группы прочности, применяемая отделка концов и группы длин труб, на которые распространяется настоящий стандарт, приведены в таблицах С.1 – С.2 и С.28 приложения C. По согласованию между заказчиком и изготовителем настоящий стандарт может распространяться на трубы с резьбой и без резьбы других размеров |
| Список изменений: | №0 от 25.06.2018 (рег. 25.06.2018) «» |
| Приложение №1: | Изменение к ГОСТ 31446-2017. Поправка; Изменены ссылочные НД |
| Приложение №2: | Поправка к ГОСТ 31446-2017 |


































































































































































































































































| Обозначение: | Изменение к ГОСТ 31446-2017. Поправка; Изменены ссылочные НД |
| Дата введения: | 26.06.2018 |



| Обозначение: | Поправка к ГОСТ 31446-2017 |
| Дата введения: | 11.09.2023 |
