| Обозначение: |  ГОСТ 12.0.230.3-2016 |
| Статус: | действующий |
| Название рус.: | Система стандартов безопасности труда. Системы управления охраной труда. Оценка результативности и эффективности |
| Название англ.: | System of standards for occupational safety. Management systems for occupational safety. Evaluation of effectiveness and efficiency |
| Дата актуализации текста: | 01.01.2021 |
| Дата актуализации описания: | 01.07.2023 |
| Дата регистрации: | 25.10.2016 |
| Дата издания: | 11.06.2019 |
| Дата введения: | 01.01.2018 |
| Нормативные ссылки: | ГОСТ 12.0.002; ГОСТ 12.0.230-2007; ГОСТ 12.0.230.2;ГОСТ ISO 9000-2011; ГОСТ Р ИСО 9000-2015 |
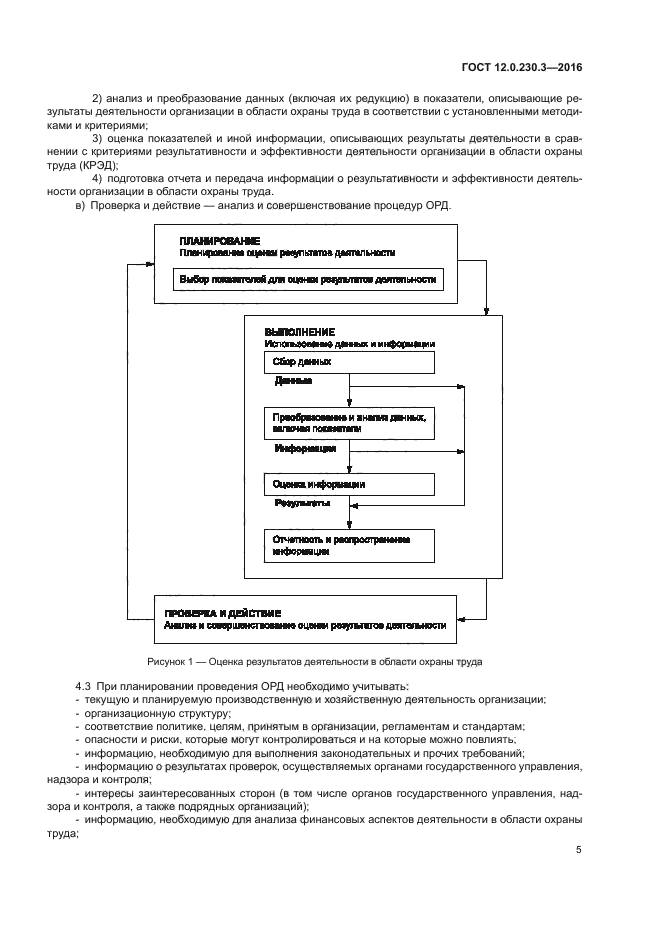
| Область применения: | Настоящий стандарт представляет собой руководящие указания по планированию и применению процедур оценки результативности и эффективности деятельности организации в области охраны труда |
|