| Обозначение: |  ГОСТ Р 57478-2017 |
| Статус: | действующий |
| Название рус.: | Грузы опасные. Классификация |
| Название англ.: | Dangerous goods. Сlassification |
| Дата актуализации текста: | 01.06.2021 |
| Дата актуализации описания: | 01.07.2023 |
| Дата издания: | 13.09.2018 |
| Дата введения: | 01.11.2019 |
| Нормативные ссылки: | ГОСТ 12.1.044; ГОСТ 30333; ГОСТ 32291; ГОСТ 32293; ГОСТ 32381; ГОСТ 32421; ГОСТ 32427; ГОСТ 32436; ГОСТ 32473; ГОСТ 32474; ГОСТ 32536; ГОСТ 32538; ГОСТ 32634; ГОСТ Р 54508; ГОСТ Р 54509; ГОСТ Р 54512; ГОСТ Р 54513; ГОСТ Р 54515; ГОСТ Р 54516; ГОСТ Р 54517;МК 004 |
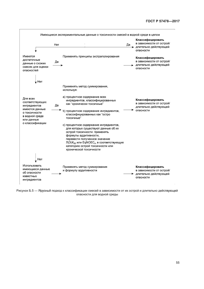
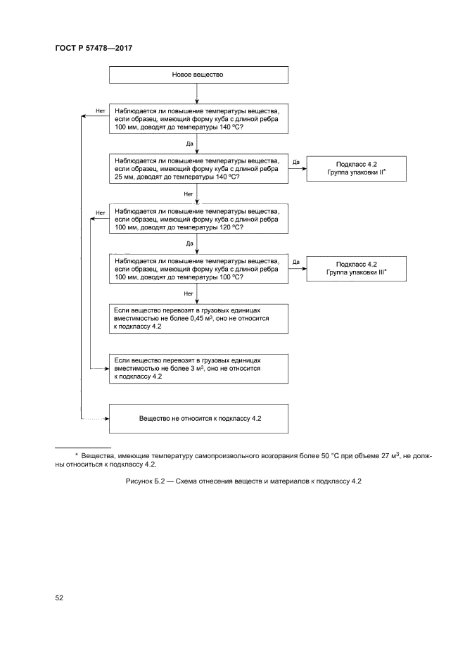
| Область применения: | Настоящий стандарт устанавливает систему классификации опасных грузов, а также показатели и критерии отнесения веществ (включая смеси и растворы), материалов и изделий к опасным грузам |
| Список изменений: | №0 от 01.11.2019 (рег. 22.02.2018) «Утратил силу в РФ» |
| Приложение №1: | Изменение №1 к ГОСТ Р 57478-2017 |
|