Скачать ГОСТ 18394-2016 Фольга свинцовая, плакированная оловом, и оловянная. Технические условияДата актуализации: 01.06.2025 ГОСТ 18394-2016
Фольга свинцовая, плакированная оловом, и оловянная. Технические условия
| Обозначение: |  ГОСТ 18394-2016 |
| Статус: | действующий |
| Название рус.: | Фольга свинцовая, плакированная оловом, и оловянная. Технические условия | | Название англ.: | Tin plated lead and tin foil. Specifications | | Дата актуализации текста: | 01.01.2021 | | Дата актуализации описания: | 01.07.2023 | | Дата регистрации: | 25.10.2016 | | Дата издания: | 17.05.2017 | | Дата введения: | 01.03.2018 | | Код ОКП: | 183540 | | Взамен: | ГОСТ 18394-73 | | Нормативные ссылки: | ГОСТ 427-75; ГОСТ 860-75; ГОСТ 1089-82; ГОСТ 1429.0-77; ГОСТ 1429.1-77; ГОСТ 1429.2-77; ГОСТ 2991-85; ГОСТ 3282-74; ГОСТ 3479-85; ГОСТ 3560-73; ГОСТ 3749-77; ГОСТ 3778-98; ГОСТ 6507-90; ГОСТ 7502-98; ГОСТ 9557-87; ГОСТ 14192-96; ГОСТ 15483.0-78; ГОСТ 15483.4-78; ГОСТ 15483.5-78; ГОСТ 15483.10-2004; ГОСТ 15846-2002; ГОСТ 16711-84; ГОСТ 18477-79; ГОСТ 21140-88; ГОСТ 21650-76; ГОСТ 21929-76; ГОСТ 24231-80; ГОСТ 24597-81; ГОСТ 25086-2011; ГОСТ 26663-85; ГОСТ 26877-2008;СТ СЭВ 543-77 | | Область применения: | Настоящий стандарт распространяется на фольгу свинцовую, плакированную оловом, и оловянную фольгу, применяемую в электропромышленности, приборостроении и других отраслях промышленности | |
         
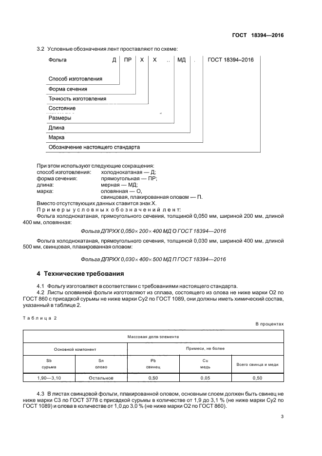
|