| Обозначение: |  ГОСТ Р 57450-2017 |
| Статус: | действующий |
| Название рус.: | Серверные домашние системы мультимедиа. Концептуальная модель цифрового управления правами |
| Название англ.: | Multimedia home server systems. Conceptual model for digital rights management |
| Дата актуализации текста: | 01.01.2021 |
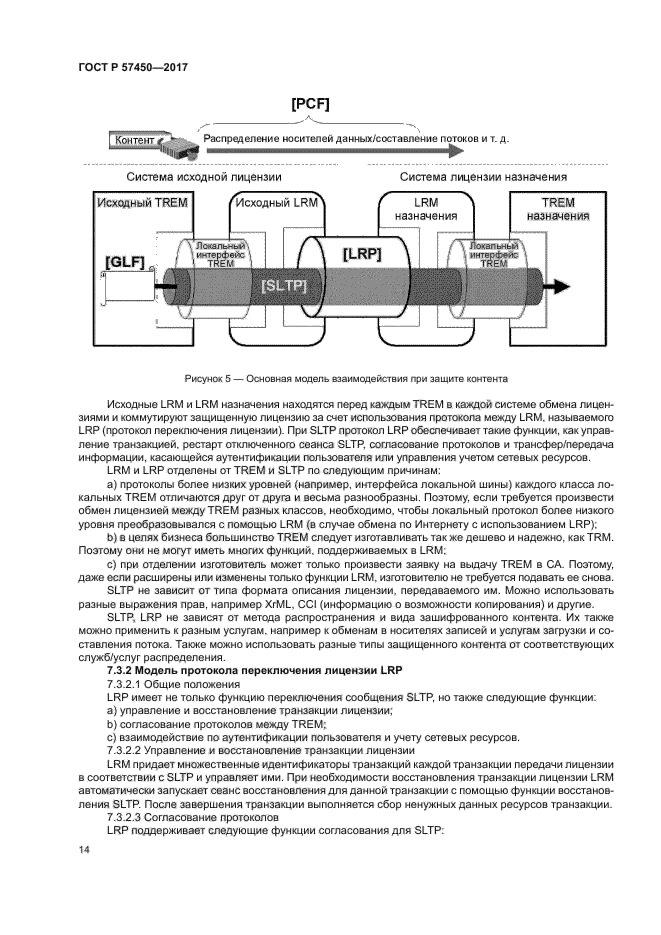
| Дата актуализации описания: | 01.07.2023 |
| Дата издания: | 14.10.2020 |
| Дата введения: | 01.03.2018 |
| Аутентичен стандартам: | IEC/TS 62224(2013) |
| Нормативные ссылки: | ISO/IEC 7498-1:1994;ISO/IEC 9594-8:2008;ISO/IEC 15408-1:2009;IEC 62224(2008);ITU-T Recommendation X.509:1997;RFC 3280 R |
| Область применения: | Настоящий стандарт устанавливает концептуальную модель протокола спецификации для обмена лицензионной информацией между модулями цифрового управления правами (DRM). В настоящем стандарте рассмотрены модели, которые следует определять, как стандартные, а также приведены стандартные смысловые значения (в основном с точки зрения информационной безопасности в среде распространения, включая системы домашних серверов) |
|