| Обозначение: |  ГОСТ 12.4.308-2016 |
| Статус: | заменён |
| Название рус.: | Система стандартов безопасности труда. Средства индивидуальной защиты глаз. Очки для защиты от лазерного излучения. Общие технические требования и методы испытаний |
| Название англ.: | Occupational safety standards system. Personal eye-protection. Laser eye-protectors. General technical requirements and test methods |
| Дата актуализации текста: | 01.01.2021 |
| Дата актуализации описания: | 01.07.2023 |
| Дата регистрации: | 27.09.2016 |
| Дата издания: | 05.12.2019 |
| Дата введения: | 01.10.2017 |
| Дата окончания срока действия: | 01.10.2022 |
| Заменяющий: | ГОСТ EN 207-2021 |
| Содержит требования: | EN 207:2009 |
| Нормативные ссылки: | ГОСТ 8.332; ГОСТ 12.4.253; ГОСТ 12.4.309.2; ГОСТ 3520; ГОСТ 7721; ГОСТ 15093; ГОСТ 31581;ГОСТ EN 208 |
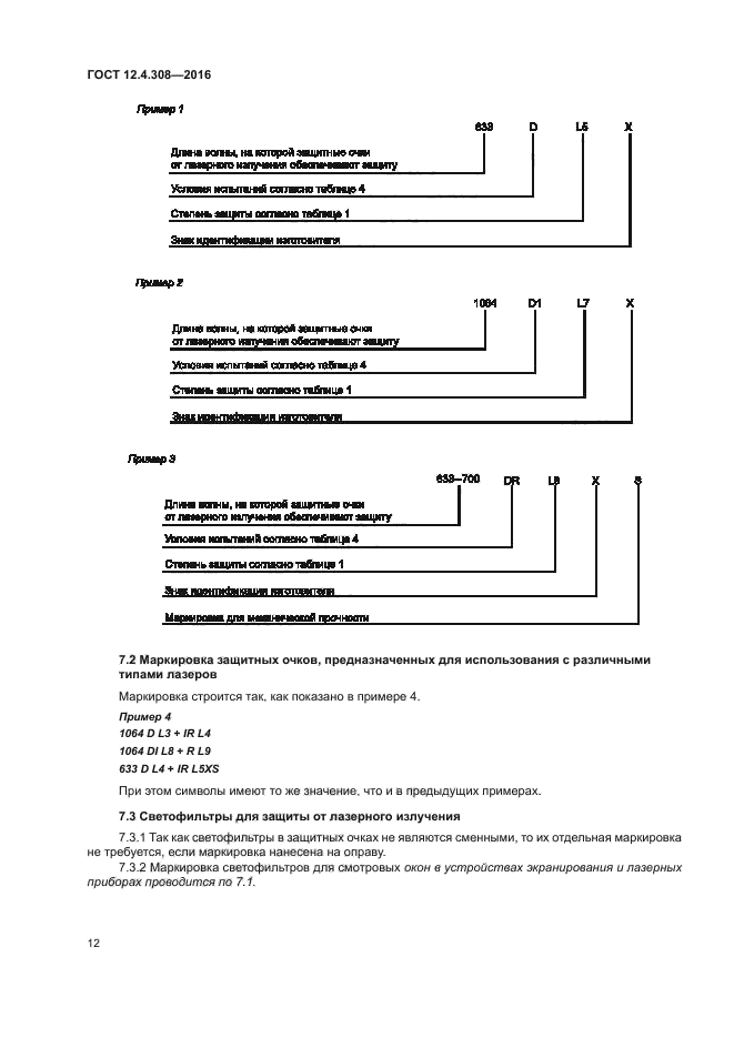
| Область применения: | Настоящий стандарт распространяется на светофильтры и очки для защиты от излучения лазеров (далее - защитные очки) в диапазоне длин волн от 180 нм до 1000 мкм |
|