Скачать ГОСТ 34044-2016 Корма, комбикорма, комбикормовое сырье. Метод определения ксенобиотиков с помощью высокоэффективной жидкостной хроматографии с масс-спектрометрическим детекторомДата актуализации: 01.06.2025 ГОСТ 34044-2016
Корма, комбикорма, комбикормовое сырье. Метод определения ксенобиотиков с помощью высокоэффективной жидкостной хроматографии с масс-спектрометрическим детектором
| Обозначение: |  ГОСТ 34044-2016 |
| Статус: | действующий |
| Название рус.: | Корма, комбикорма, комбикормовое сырье. Метод определения ксенобиотиков с помощью высокоэффективной жидкостной хроматографии с масс-спектрометрическим детектором | | Название англ.: | Feeds, compound feeds, feed raw materials. Method for determination of xenobiotics content by high performance liquid chromatography with mass spectrometry detector | | Дата актуализации текста: | 01.06.2021 | | Дата актуализации описания: | 01.07.2023 | | Дата регистрации: | 19.12.2016 | | Дата издания: | 24.11.2020 | | Дата введения: | 01.07.2018 | | Нормативные ссылки: | ГОСТ 12.1.005; ГОСТ 12.1.007; ГОСТ 12.1.019;ГОСТ OIML R 76-1; ГОСТ 1770; ГОСТ 2603; ГОСТ 4328; ГОСТ ИСО 5725-6; ГОСТ 5848;ГОСТ ISO 6497; ГОСТ 6709; ГОСТ 6995; ГОСТ 13496.0; ГОСТ 22300; ГОСТ 25336 | | Область применения: | Настоящий стандарт распространяется на корма, коибикорма, комбикормовое сырье и устанавливает метод высокоэффективной жидкостной хроматографии с масс-спектрометрическим детектированием (далее - ВЭЖХ - МС/МС) для определения содержания ксенобиотиков в диапазоне измерений от 500 до 10000 мкг/кг | | Приложение №1: | Поправка к ГОСТ 34044-2016 | |
                      
Поправка к ГОСТ 34044-2016
| Обозначение: | Поправка к ГОСТ 34044-2016 |
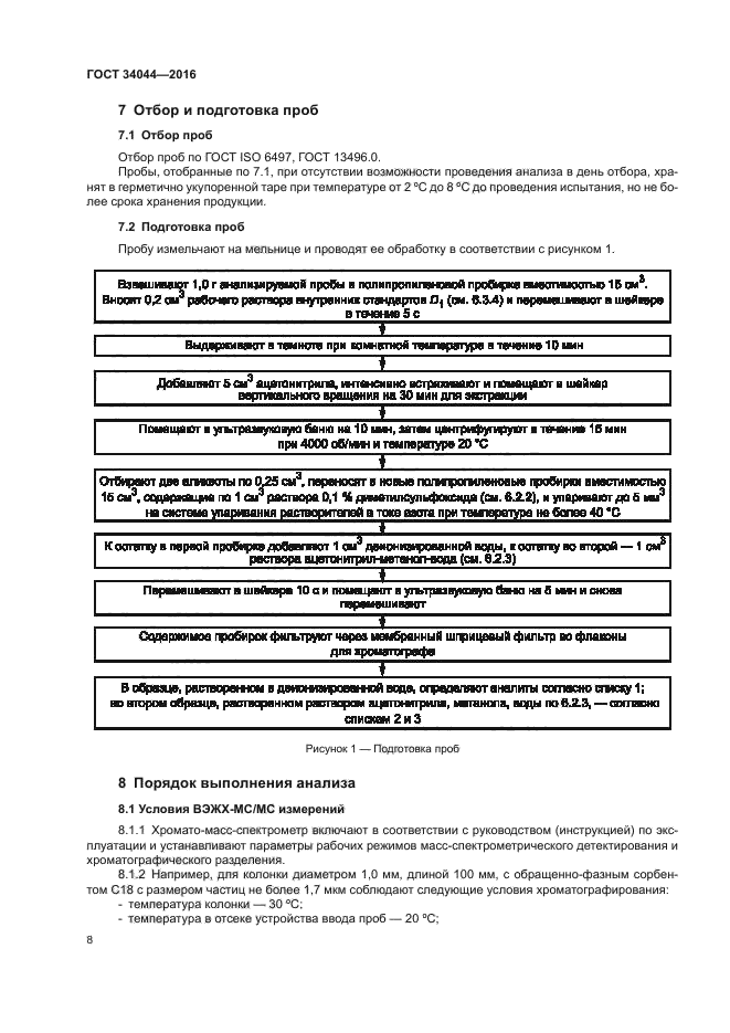
| Дата введения: | 11.12.2019 |
|