| Обозначение: |  ГОСТ Р 56590-2016 |
| Статус: | действующий |
| Название рус.: | Плиты на основе пенополиизоцианурата теплозвукоизоляционные. Технические условия |
| Название англ.: | Polyisocyanurate foam based thermal and sound insulation slabs. Specification |
| Дата актуализации текста: | 01.01.2023 |
| Дата актуализации описания: | 01.07.2023 |
| Дата издания: | 12.12.2016 |
| Дата введения: | 01.07.2017 |
| Взамен: | ГОСТ Р 56590-2015 |
| Содержит требования: | EN 13165:2012+A2:2016 |
| Нормативные ссылки: | ГОСТ 12.1.044-89; ГОСТ 7076-99; ГОСТ 24816-2014; ГОСТ 25898-2012; ГОСТ 27296-2012; ГОСТ 30244-94; ГОСТ 30402-96; ГОСТ 31430-2011; ГОСТ 31704-2011; ГОСТ 31705-2011; ГОСТ 31915-2011;ГОСТ EN 822-2011;ГОСТ EN 823-2011;ГОСТ EN 824-2011;ГОСТ ЕN 825-2011;ГОСТ EN 826-2011;ГОСТ EN 1602-2011;ГОСТ EN 1604-2011;ГОСТ EN 1605-2011;ГОСТ ЕN 1606-2011;ГОСТ ЕN 1607-2011;ГОСТ EN 1609-2011;ГОСТ EN 12086-2011;ГОСТ EN 12087-2011;ГОСТ EN 12088-2011;ГОСТ EN 12089-2011;ГОСТ EN 12090-201;ГОСТ EN 12091-2011; ГОСТ Р 50779.29-2017 |
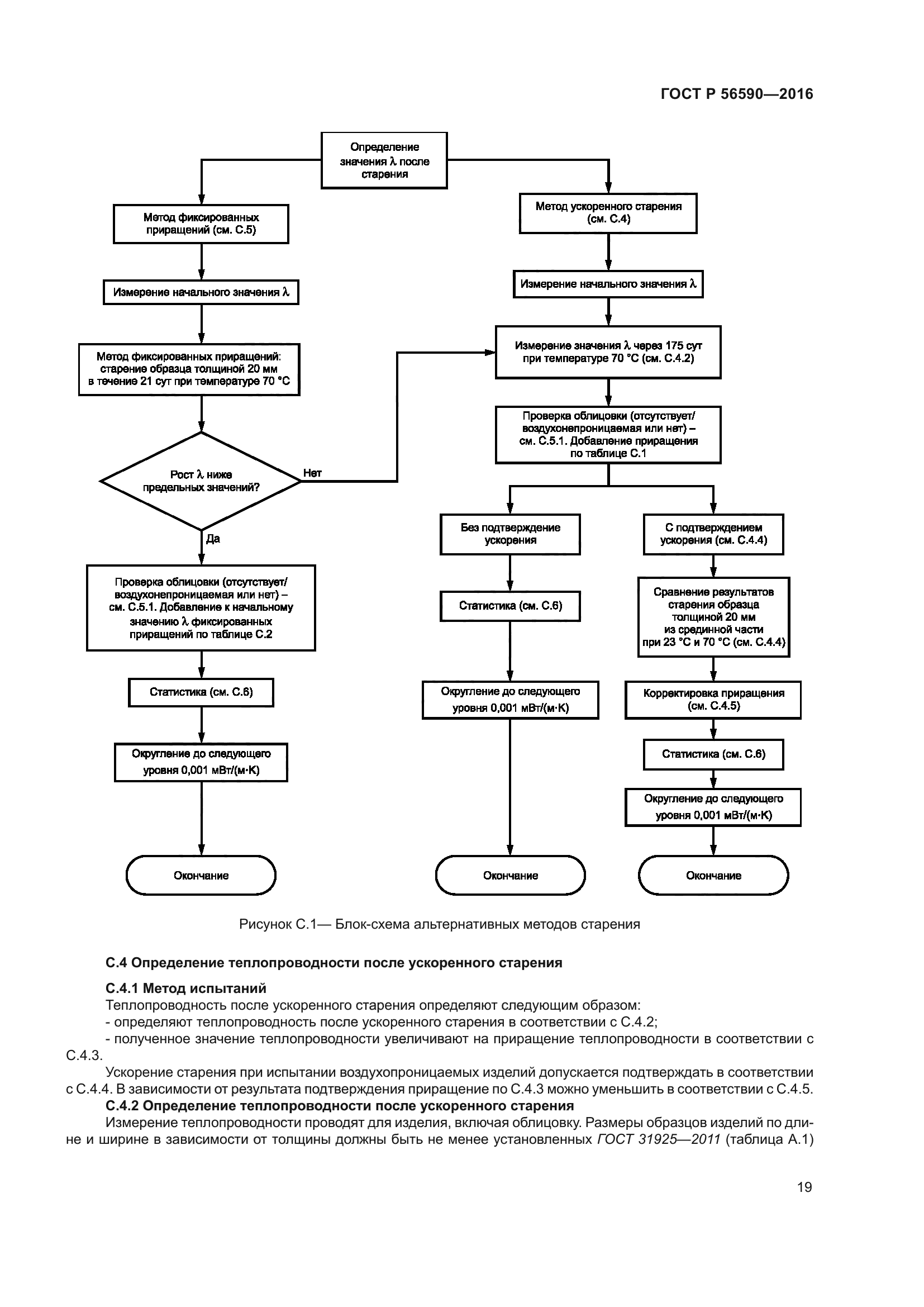
| Область применения: | Настоящий стандарт устанавливает требования к изделиям из пенополиизоцианурата с облицовкой или покрытием, или без них, применяемые для тепловой изоляции ограждающих конструкций зданий и сооружений. Изделия изготовляют в виде плит. |
| Приложение №1: | Изменение №1 к ГОСТ Р 56590-2016 |
|