| Обозначение: |  ГОСТ 33920-2016 |
| Статус: | действующий |
| Название рус.: | Казеинаты пищевые. Технические условия |
| Название англ.: | Food caseinates. Specifications |
| Дата актуализации текста: | 01.02.2017 |
| Дата актуализации описания: | 01.07.2023 |
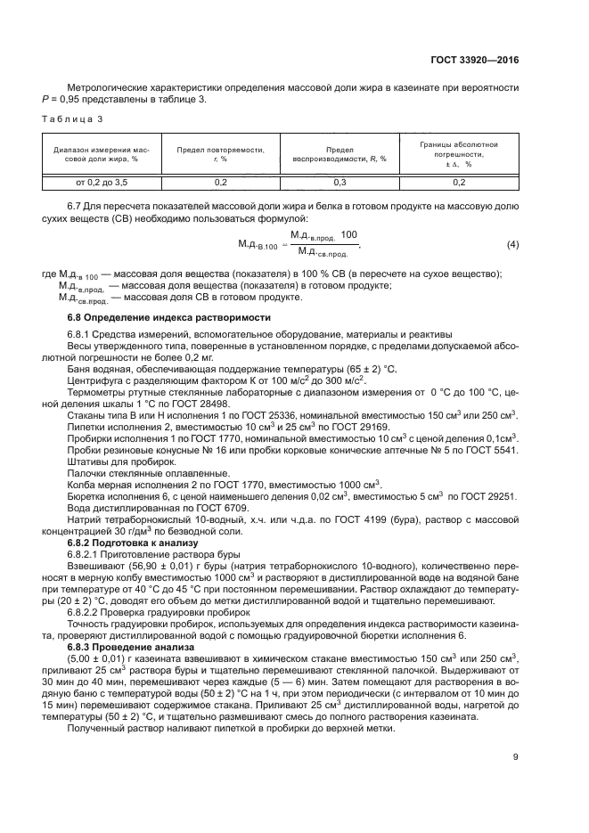
| Дата регистрации: | 25.10.2016 |
| Дата издания: | 19.12.2016 |
| Дата введения: | 01.09.2017 |
| Нормативные ссылки: | ISO 707:2008;ГОСТ ISO/TS 15495/IDF/RM 230-2012; ГОСТ 8.579-2002; ГОСТ 61-75; ГОСТ 199-78; ГОСТ 450-77; ГОСТ 1770-74; ГОСТ 1760-2014; ГОСТ 2156-76; ГОСТ 2226-13; ГОСТ 3118-77; ГОСТ 4403-91; ГОСТ 4461-77; ГОСТ 4199-76; ГОСТ 4201-79; ГОСТ 4204-77; ГОСТ 5541-2002; ГОСТ 5830-79; ГОСТ 6709-72; ГОСТ 6859-72; ГОСТ 10131-93; ГОСТ 10444.12-2013; ГОСТ 12026-76; ГОСТ 14192-96; ГОСТ 14919-83; ГОСТ 15846-2002; ГОСТ 19908-90; ГОСТ 19360-74; ГОСТ 19814-74; ГОСТ 23094-78; ГОСТ 23285-78; ГОСТ 23452-79; ГОСТ 23519-93; ГОСТ 25336-82; ГОСТ 26663-85; ГОСТ 26754-85; ГОСТ 26809.1-2014; ГОСТ 26927-86; ГОСТ 26929-94; ГОСТ 26930-86; ГОСТ 26932-86; ГОСТ 26933-86; ГОСТ 27752-88; ГОСТ 28498-90; ГОСТ 29169-91; ГОСТ 29227-91; ГОСТ 29245-91; ГОСТ 29246-91; ГОСТ 29251-91; ГОСТ 30178-96; ГОСТ 30347-97; ГОСТ 30538-97; ГОСТ 30648.2-99; ГОСТ 30711-2001; ГОСТ 31502-2012; ГОСТ 31658-2012; ГОСТ 31659-2012; ГОСТ 31978-2012; ГОСТ 32031-2012; ГОСТ 32161-2013; ГОСТ 32163-2013; ГОСТ 32164-2013; ГОСТ 32219-2013; ГОСТ 32254-2013; ГОСТ 32901-2014 |
| Область применения: | Настоящий стандарт распространяется на казеинаты пищевые (далее - продукт), вырабатываемые из обезжиренного молока, кислотного или сычужного казеина (сухого, свежеосажденного и казеина-сырца) и предназначенные для использования в производстве пищевых продуктов |
|