| Обозначение: |  ГОСТ 33845-2016 |
| Статус: | действующий |
| Название рус.: | Композиты полимерные. Метод определения характеристик усталости в условиях циклического нагружения |
| Название англ.: | Polymer composites. Test method for fatigue properties under cyclic loading conditions |
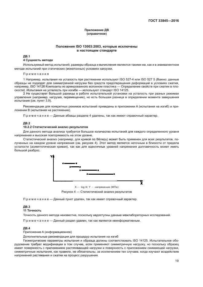
| Дата актуализации текста: | 01.01.2021 |
| Дата актуализации описания: | 01.06.2019 |
| Дата издания: | 28.11.2016 |
| Дата введения: | 01.07.2017 |
| Дата последнего изменения: | 12.09.2018 |
| Область применения: | Настоящий стандарт распространяется на армированные полимерные композиты и устанавливает метод определения характеристик усталости в условиях циклического нагружения с постоянной амплитудой и частотой |
|