Скачать ГОСТ Р 57162-2016 Вода. Определение содержания элементов методом атомно-абсорбционной спектрометрии с электротермической атомизациейДата актуализации: 01.06.2025
| ||||||||||||||||||||||||||||||
| Обозначение: | ![]() ГОСТ Р 57162-2016 |
| Статус: | действующий |
| Название рус.: | Вода. Определение содержания элементов методом атомно-абсорбционной спектрометрии с электротермической атомизацией |
| Название англ.: | Water. Determination of elements content by graphite furnace atomic absorption spectrometry |
| Дата актуализации текста: | 01.12.2024 |
| Дата актуализации описания: | 01.07.2023 |
| Дата издания: | 05.11.2019 |
| Дата введения: | 01.01.2018 |
| Код ОКП: | 013100;013300 |
| Нормативные ссылки: | ГОСТ 17.1.5.05; ГОСТ 1770; ГОСТ 3771; ГОСТ 4461; ГОСТ 6709; ГОСТ 10929; ГОСТ 11088; ГОСТ 11125; ГОСТ 14261; ГОСТ 14919;ГОСТ ISO/IEC 17025; ГОСТ 19908; ГОСТ 25336; ГОСТ 29169; ГОСТ 29227; ГОСТ 31861; ГОСТ Р 8.736; ГОСТ Р ИСО 5725-6-2002; ГОСТ Р ИСО 15587-1; ГОСТ Р ИСО 15587-2; ГОСТ Р 52501; ГОСТ Р 53228; ГОСТ Р 56237 |
| Область применения: | Настоящий стандарт распространяется на питьевую (в том числе расфасованную в емкости), природную (поверхностную и подземную) и сточную (в том числе очищенную) воду и устанавливает метод определения содержания алюминия, бария, бериллия, ванадия, висмута, железа, кадмия, кобальта, марганца, меди, молибдена, мышьяка, никеля, олова, свинца, селена, серебра, сурьмы, титана, хрома и цинка атомно-абсорбционной спектрометрией с электротермической атомизацией в диапазонах значений массовой концентрации (включая верхнюю границу) |
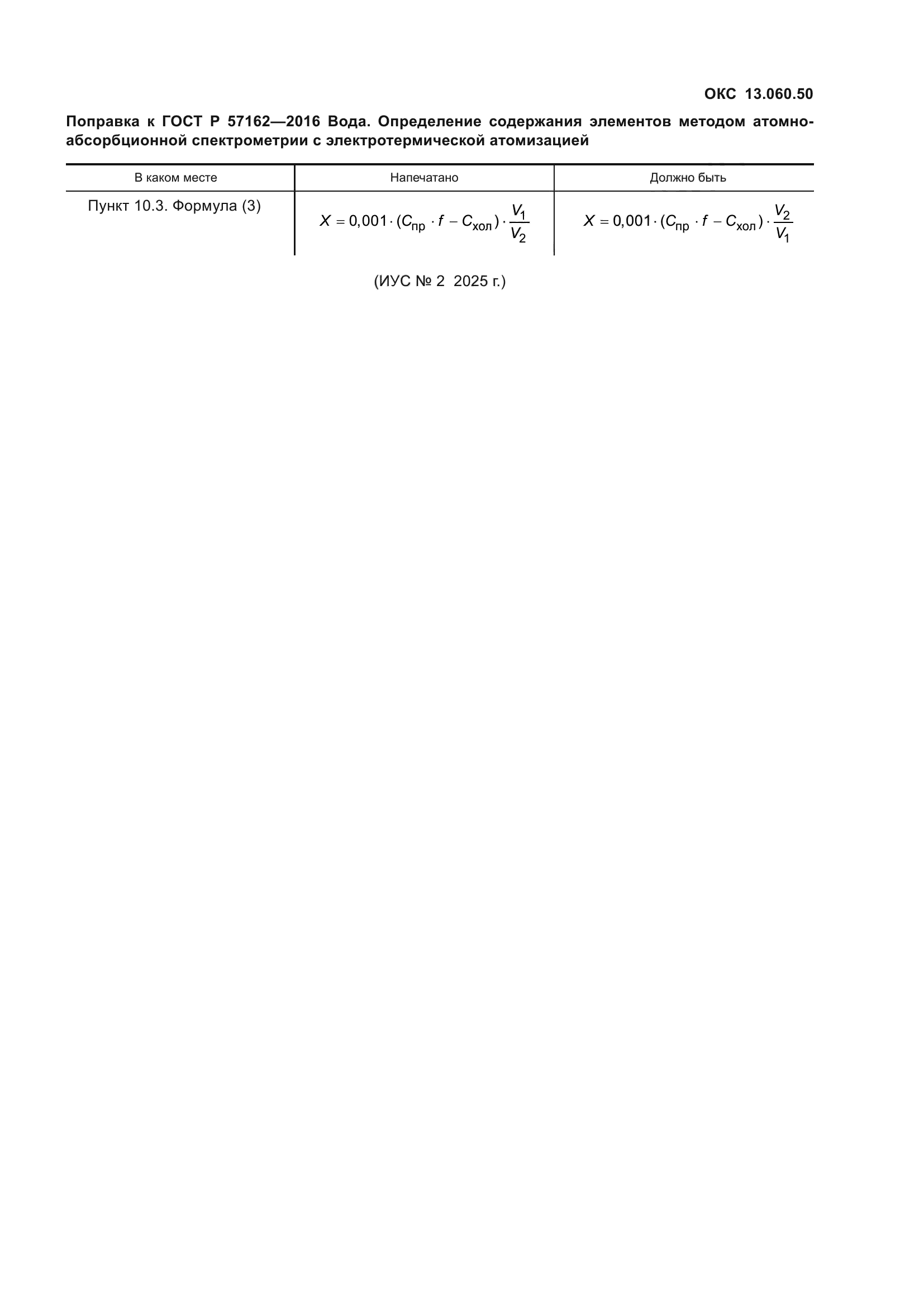
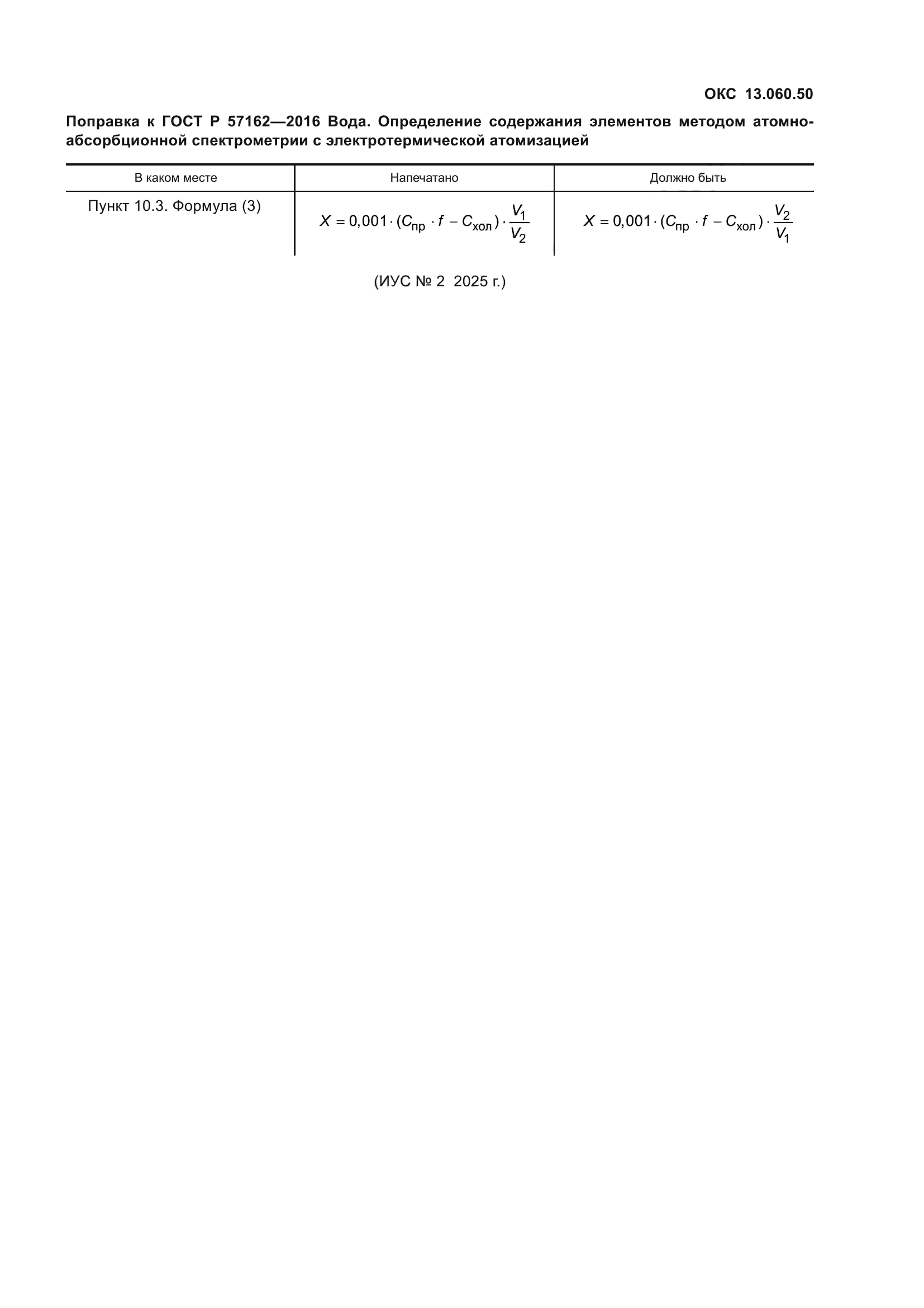
| Приложение №1: | Поправка к ГОСТ Р 57162-2016 |

























| Обозначение: | Поправка к ГОСТ Р 57162-2016 |
| Дата введения: | 25.11.2024 |
