| Обозначение: |  ГОСТ 9561-2016 |
| Статус: | заменён |
| Название рус.: | Плиты перектытий железобетонные сплошные для крупнопанельных зданий. Общие технические условия |
| Дата актуализации текста: | 01.06.2024 |
| Дата актуализации описания: | 01.01.2026 |
| Дата регистрации: | 25.10.2016 |
| Дата издания: | 28.12.2016 |
| Дата введения: | 01.06.2017 |
| Дата окончания срока действия: | 01.01.2026 |
| Взамен: | ГОСТ 9561-91 |
| Заменяющий: | ГОСТ 9561-2025 |
| Нормативные ссылки: | ГОСТ 13015-2012; ГОСТ 10060; ГОСТ 10180; ГОСТ 10181; ГОСТ 12730.0; ГОСТ 12730.1; ГОСТ 12730.5; ГОСТ 17623; ГОСТ 17624; ГОСТ 22690; ГОСТ 23279; ГОСТ 23858; ГОСТ 24297; ГОСТ 26134; ГОСТ 27751; ГОСТ 31384; ГОСТ 535; ГОСТ 7473; ГОСТ 8829; ГОСТ 14098; ГОСТ 17625; ГОСТ 18105; ГОСТ 22362; ГОСТ 22904; ГОСТ 23009; ГОСТ 25214; ГОСТ 25697; ГОСТ 25820; ГОСТ 26633; ГОСТ 30247.0; ГОСТ 30247.1 |
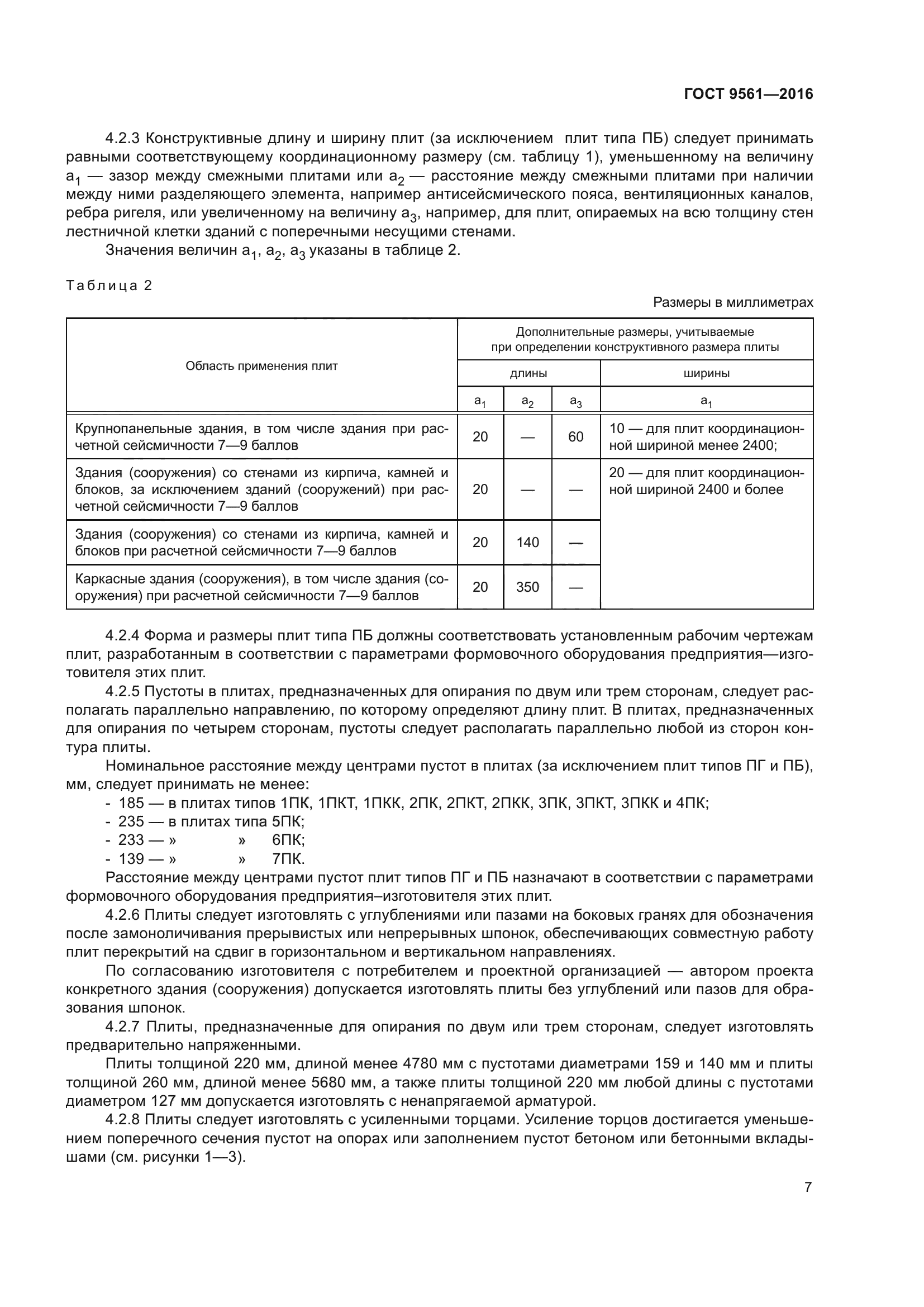
| Область применения: | Настоящий стандарт распространяется на железобетонные сплошные плиты (далее – плиты), изготовляемые из тяжелого бетона, конструкционного легкого бетона плотной структуры и плотного силикатного бетона и предназначенные для использования их в качестве несущей части перекрытий крупнопанельных зданий различного назначения с расчетной нагрузкой на перекрытие (без учета собственного веса плиты) до 6,0 кПа включительно. Плиты применяют в соответствии с указаниями рабочих чертежей плит и дополнительными требованиями, оговариваемыми при заказе этих конструкций |
| Приложение №1: | Изменение к ГОСТ 9561-2016. Поправка к изменению |
| Приложение №2: | Изменение №1 к ГОСТ 9561-2016 |
| Приложение №3: | Поправка к ГОСТ 9561-2016 |
|