| Обозначение: |  ГОСТ Р 57100-2016 |
| Статус: | действующий |
| Название рус.: | Системная и программная инженерия. Описание архитектуры |
| Название англ.: | Systems and software engineering. Architecture description |
| Дата актуализации текста: | 01.01.2021 |
| Дата актуализации описания: | 01.06.2025 |
| Дата издания: | 30.01.2019 |
| Дата введения: | 01.09.2017 |
| Дата окончания срока действия: | 30.06.2025 |
| Заменяющий: | ГОСТ Р 57100-2025 |
| Аутентичен стандартам: | ISO/IEC/IEEE 42010:2011 |
| Область применения: | Настоящий стандарт определяет способ, с помощью которого осуществляются организация и выражение описания архитектуры систем. Настоящий стандарт определяет точки зрения на архитектуру, структуру и языки описания архитектуры для использования в описаниях архитектуры. Настоящий стандарт также содержит обоснование для используемых терминов и понятий, представляет руководство по определению точек зрения на архитектуру и демонстрирует использование настоящего стандарта во взаимодействии с другими стандартами |
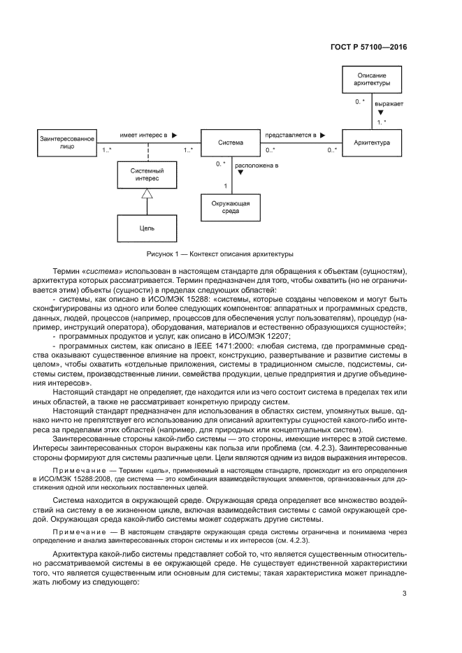
|