| Обозначение: |  ГОСТ 32944-2014 |
| Статус: | действующий |
| Название рус.: | Дороги автомобильные общего пользования. Пешеходные переходы. Классификация. Общие требования |
| Название англ.: | Car roads for general use. Pedestrian crossings. Classification. General requirements |
| Дата актуализации текста: | 01.01.2021 |
| Дата актуализации описания: | 01.07.2023 |
| Дата регистрации: | 30.09.2014 |
| Дата издания: | 09.09.2019 |
| Дата введения: | 08.09.2016 |
| Нормативные ссылки: | ГОСТ 32866; ГОСТ 32945; ГОСТ 32953; ГОСТ 32964-2014; ГОСТ 33385; ГОСТ 33025-2014; ГОСТ 33176 |
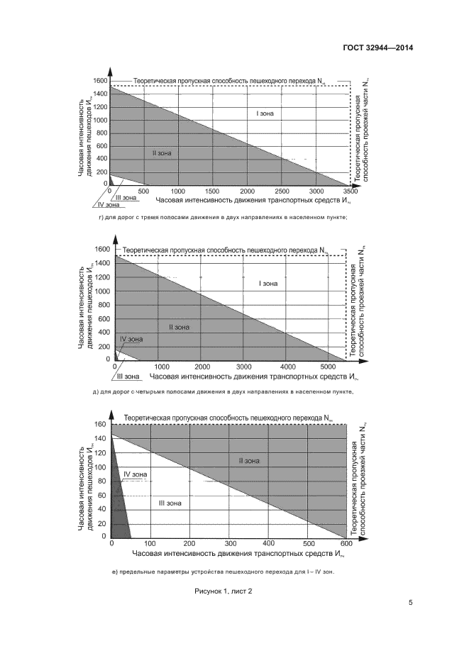
| Область применения: | Настоящий стандарт распространяется на пешеходные переходы, устраиваемые на автомобильных дорогах общего пользования, в том числе на участках дорог, проходящих по территории населенных пунктов. Настоящий стандарт устанавливает классификацию и общие технические требования к пешеходным переходам |
|