Скачать ГОСТ Р 57237-2016 Воздушный транспорт. Система менеджмента безопастности авиационной деятельности. База данных. Авиационные риски, возникающие при производстве определенных видов операционной деятельности: вертолетные видыДата актуализации: 01.06.2025 ГОСТ Р 57237-2016
Воздушный транспорт. Система менеджмента безопастности авиационной деятельности. База данных. Авиационные риски, возникающие при производстве определенных видов операционной деятельности: вертолетные виды
| Обозначение: |  ГОСТ Р 57237-2016 |
| Статус: | действующий |
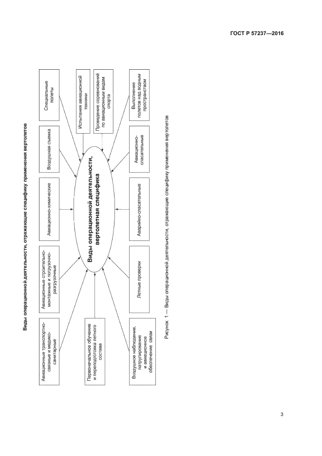
| Название рус.: | Воздушный транспорт. Система менеджмента безопастности авиационной деятельности. База данных. Авиационные риски, возникающие при производстве определенных видов операционной деятельности: вертолетные виды | | Дата актуализации текста: | 01.01.2021 | | Дата актуализации описания: | 01.01.2021 | | Дата издания: | 13.05.2020 | | Дата введения: | 01.07.2017 | | Нормативные ссылки: | ГОСТ Р 57240-2016 | | Область применения: | Настоящий стандарт описывает основные авиационные риски, возникающие при выполнении определенных видов вертолетной деятельности эксплуатантов гражданской авиации, организаций государственной и экспериментальной авиации и устанавливает единые подходы к требованиям, методологии и контролю оценки безопасности проведения данных видов вертолетной деятельности. Требования настоящего стандарта являются общими и предназначены для применения всеми организациями независимо от их юридической формы и масштабов деятельности. | |
                  
|