Скачать ГОСТ Р 57195-2016 Ядро и язык для методов системной и программной инженерии. Общие положенияДата актуализации: 01.06.2025 ГОСТ Р 57195-2016
Ядро и язык для методов системной и программной инженерии. Общие положения
| Обозначение: |  ГОСТ Р 57195-2016 |
| Статус: | действующий |
| Название рус.: | Ядро и язык для методов системной и программной инженерии. Общие положения | | Дата актуализации текста: | 01.01.2021 | | Дата актуализации описания: | 01.01.2021 | | Дата издания: | 13.05.2020 | | Дата введения: | 01.05.2017 | | Область применения: | Настоящий стандарт устанавливает детальные определения и описания ядра и языка методов системной и программной инженерии. Настоящий стандарт предусматривает следующие требования к ядру и языку: - определяет ядро и его формирование в трех областях интересов, касающихся заказчика, решения и деятельности; - определяет альфы ядра (т. е. основные элементы, с которыми потребуется работать) и пространства действий (т. е. основные элементы, которые необходимо выполнить); - определяет модель языка и элементы языка | |
                        
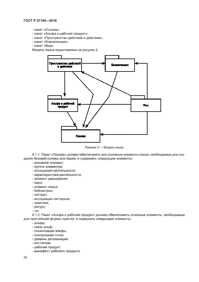
|