Скачать ГОСТ Р 57211.4-2016 Внешние воздействия. Данные о воздействии на электротехническое оборудование вибрации и ударов. Часть 4. Оборудование, перевозимое автодорожным транспортомДата актуализации: 01.06.2025 ГОСТ Р 57211.4-2016
Внешние воздействия. Данные о воздействии на электротехническое оборудование вибрации и ударов. Часть 4. Оборудование, перевозимое автодорожным транспортом
| Обозначение: |  ГОСТ Р 57211.4-2016 |
| Статус: | действующий |
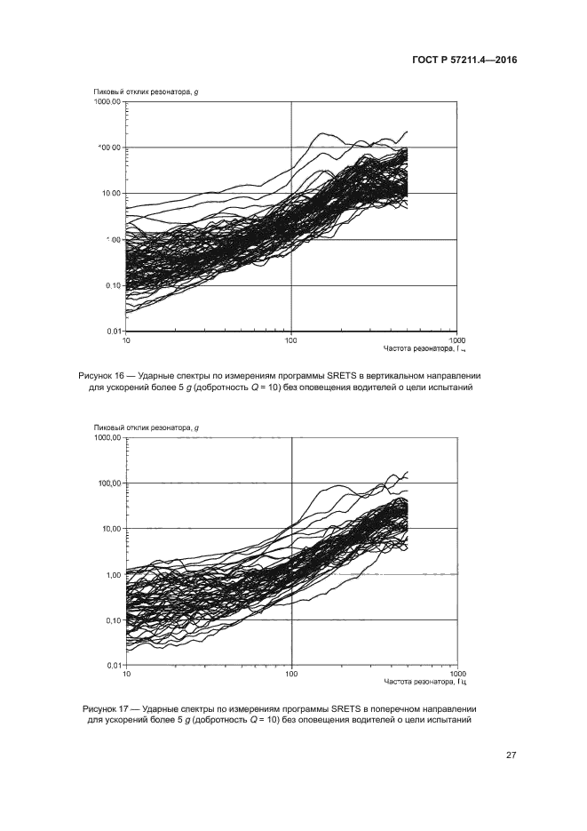
| Название рус.: | Внешние воздействия. Данные о воздействии на электротехническое оборудование вибрации и ударов. Часть 4. Оборудование, перевозимое автодорожным транспортом | | Дата актуализации текста: | 01.01.2021 | | Дата актуализации описания: | 01.01.2021 | | Дата издания: | 29.12.2016 | | Дата введения: | 01.10.2017 | | Аутентичен стандартам: | IEC/TR 62131-4(2011) | | Нормативные ссылки: | IEC 60721-3-2(1997) | | Область применения: | Настоящий стандарт устанавливает метод использования данных динамических процессов, наблюдаемых на автодорожном транспорте, для формирования типичных условий воздействий вибрации и ударов при перевозке электротехнического оборудования дорожным транспортом | |
                                                             
|