| Обозначение: |  ГОСТ 20901-2016 |
| Статус: | действующий |
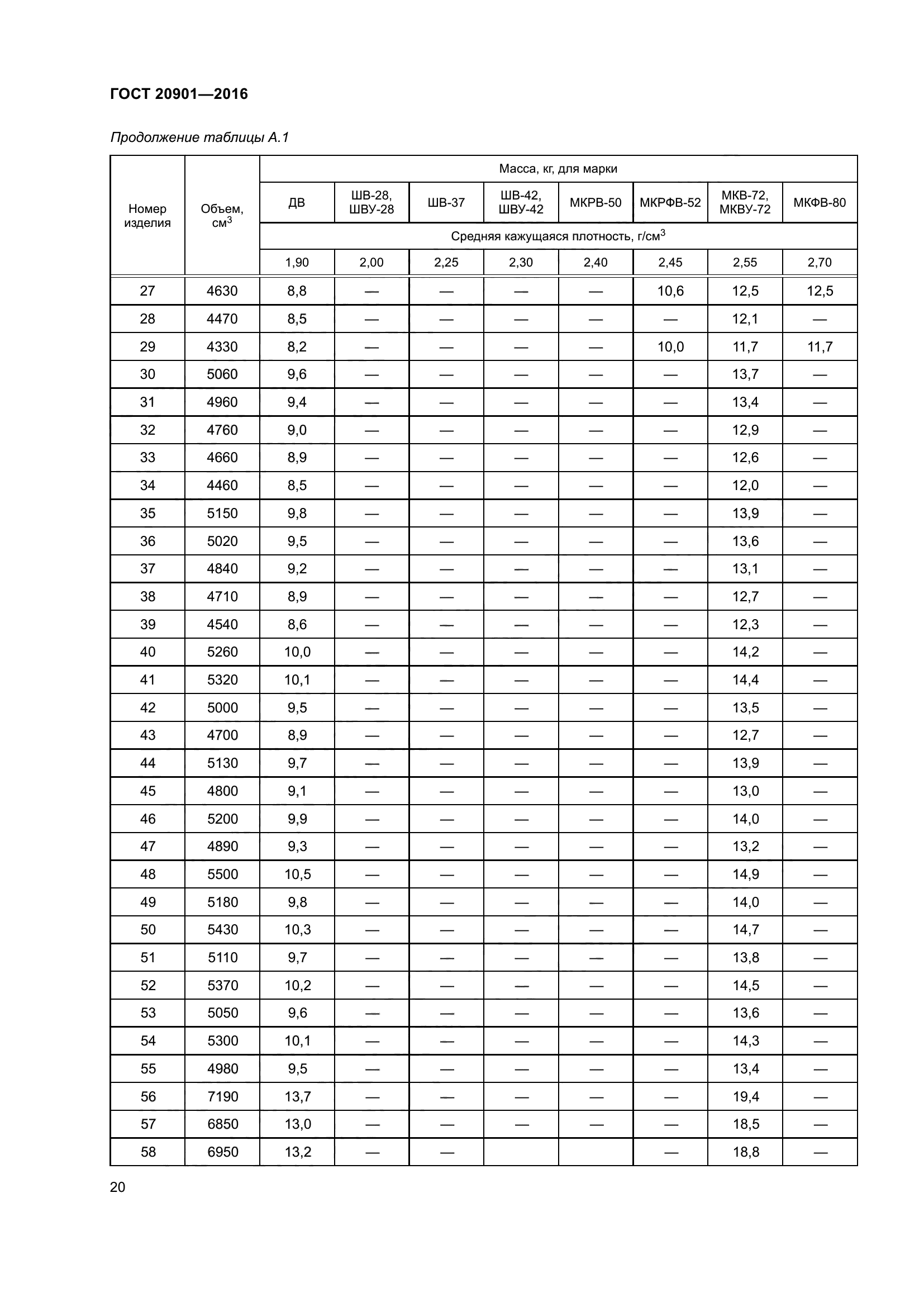
| Название рус.: | Изделия огнеупорные для кладки воздухонагревателей и воздухопроводов горячего дутья доменных печей. Технические условия |
| Дата актуализации текста: | 01.06.2022 |
| Дата актуализации описания: | 01.07.2023 |
| Дата регистрации: | 29.02.2016 |
| Дата издания: | 12.08.2016 |
| Дата введения: | 01.01.2017 |
| Взамен: | ГОСТ 20901-75 |
| Нормативные ссылки: | ГОСТ 12.1.005-88; ГОСТ 12.1.007-76; ГОСТ 12.3.009-76; ГОСТ 17.0.0.01-76; ГОСТ 17.2.3.02-2014; ГОСТ 162-90; ГОСТ 164-90; ГОСТ 2211-65; ГОСТ 2409-2014; ГОСТ 2642.0-2014; ГОСТ 2642.3-2014; ГОСТ 2642.4-2016; ГОСТ 2642.5-2016; ГОСТ 2642.10-86; ГОСТ 4069-69; ГОСТ 4070-2014; ГОСТ 4071.1-94; ГОСТ 4071.1-94; ГОСТ 5402.1-2000; ГОСТ 7875.0-94; ГОСТ 7875.1-94; ГОСТ 8179-98; ГОСТ 24717-2004; ГОСТ 28833-2016; ГОСТ 30762-2001; ГОСТ 28874-2004 |
| Область применения: | Настоящий стандарт распространяется на огнеупорные изделия для кладки воздухонагревателей, воздухопроводов горячего дутья и фурменных зон доменных печей (далее - изделия) |
| Приложение №1: | Поправка к ГОСТ 20901-2016 |
|