| Обозначение: |  ГОСТ Р 56972-2016 |
| Статус: | действующий |
| Название рус.: | Конструкции несущие базовые радиоэлектронных средств. Управление температурными режимами шкафов, соответствующих стандартам серий IEC 60297 и IEC 60917. Часть 2. Руководство по проектированию. Метод определения конструкции принудительного воздушного охлаждения |
| Название англ.: | Construction of bearing base electronic. The management cabinets, meet the standards of the series IEC 60297 and IEC 60917. Part 2. Design Guide. A method of determining the design of forced-air cooling |
| Дата актуализации текста: | 07.08.2016 |
| Дата актуализации описания: | 01.01.2021 |
| Дата издания: | 20.07.2016 |
| Дата введения: | 01.03.2017 |
| Код ОКП: | 423800 |
| Аутентичен стандартам: | IEC/TS 62610-2(2011) |
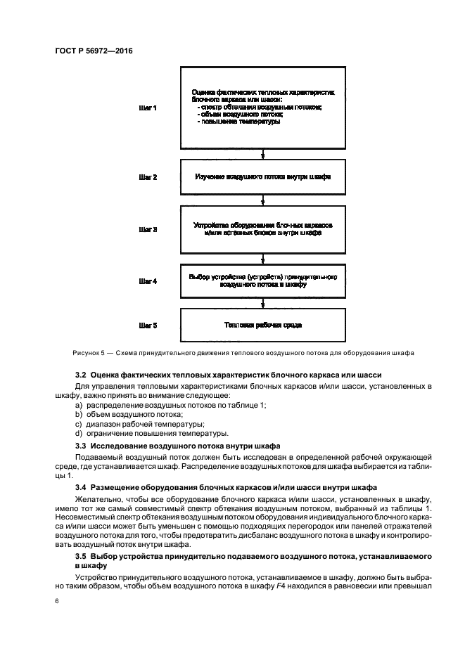
| Область применения: | Настоящий стандарт устанавливает совместимые методы принудительного воздушного охлаждения шкафов с установленными в них блочными каркасами и/или шасси, соответствующими сериям стандартов IEC 60297 и IEC 60917. Руководство по проектированию содержит следующее: а) Тепловые интерфейсы оборудования блочных каркасов и/или шасси, установленных в шкафу: - исходная температура; - рекомендуемые условия обтекания воздушным потоком; - характеристики объема потока воздуха; - воздух при стандартных условиях. б) Процедуры для определения совместимых условий принудительного потока воздуха в шкафу путем применения обычных тепловых характеристик интерфейса |
|