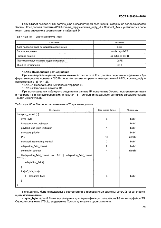
| Обозначение: |  ГОСТ Р 56950-2016 |
| Статус: | действующий |
| Название рус.: | Телевидение вещательное цифровое. Расширенная спецификация общего интерфейса в системах ограничения доступа CI Plus™. Основные параметры |
| Название англ.: | Digital Video Broadcasting. Extensions to the CI PlusTM Specification. Basic parameters |
| Дата актуализации текста: | 01.01.2021 |
| Дата актуализации описания: | 01.07.2023 |
| Дата издания: | 12.07.2016 |
| Дата введения: | 01.06.2017 |
| Код ОКП: | 657400 |
| Нормативные ссылки: | ГОСТ Р 52210-2004; ГОСТ Р 52591-2006; ГОСТ Р 53528-2009 |
| Область применения: | Настоящий стандарт содержит расширенные характеристики общего интерфейса в системах ограничения доступа CI Plus™, определенного в [1]. Стандарт распространяется на оборудование защиты информации, передаваемой по каналам вещания и по каналам Интернет протокола (Internet Protocol; IP) |
|