| Обозначение: |  ГОСТ 33597-2015 |
| Статус: | действующий |
| Название рус.: | Тормозные системы железнодорожного подвижного состава. Методы испытаний |
| Название англ.: | Braking systems of railway rolling stock. Inspection procedures |
| Дата актуализации текста: | 01.01.2026 |
| Дата актуализации описания: | 01.01.2026 |
| Дата регистрации: | 27.10.2015 |
| Дата издания: | 24.09.2019 |
| Дата введения: | 01.09.2016 |
| Код ОКП: | 318400 |
| Нормативные ссылки: | ГОСТ 2405; ГОСТ 31187; ГОСТ 31666; ГОСТ 32880; ГОСТ 31428; ГОСТ 32216; ГОСТ 33327; ГОСТ 33724.1; ГОСТ 34056; ГОСТ 34434; ГОСТ 34681; ГОСТ 34703 |
| Область применения: | Настоящий стандарт устанавливает методы контроля тормозных систем локомотивов, моторвагонного подвижного состава, пассажирских и грузовых вагонов локомотивной тяги, а также другого подвижного состава, предназначенного для осуществления перевозок и функционирования инфраструктуры железнодорожного транспорта (далее-железнодорожный подвижной состав) |
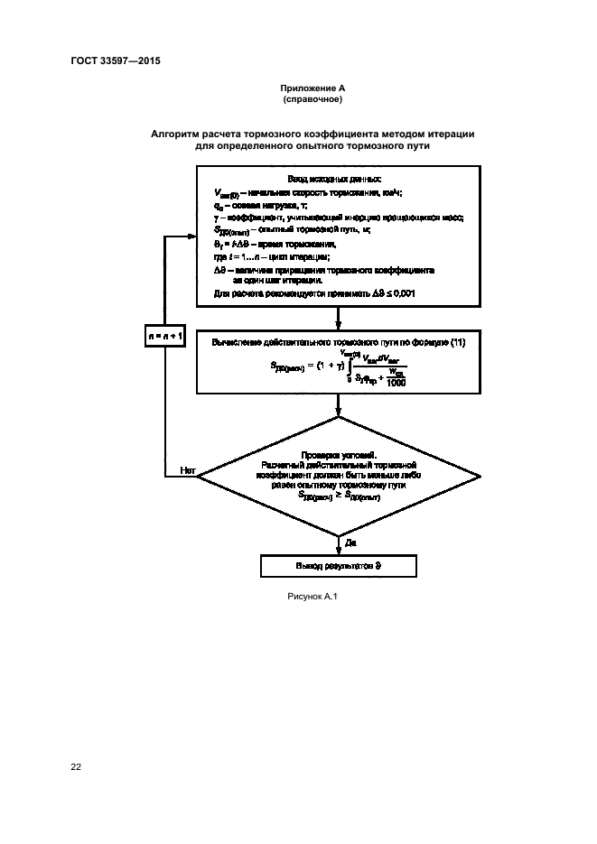
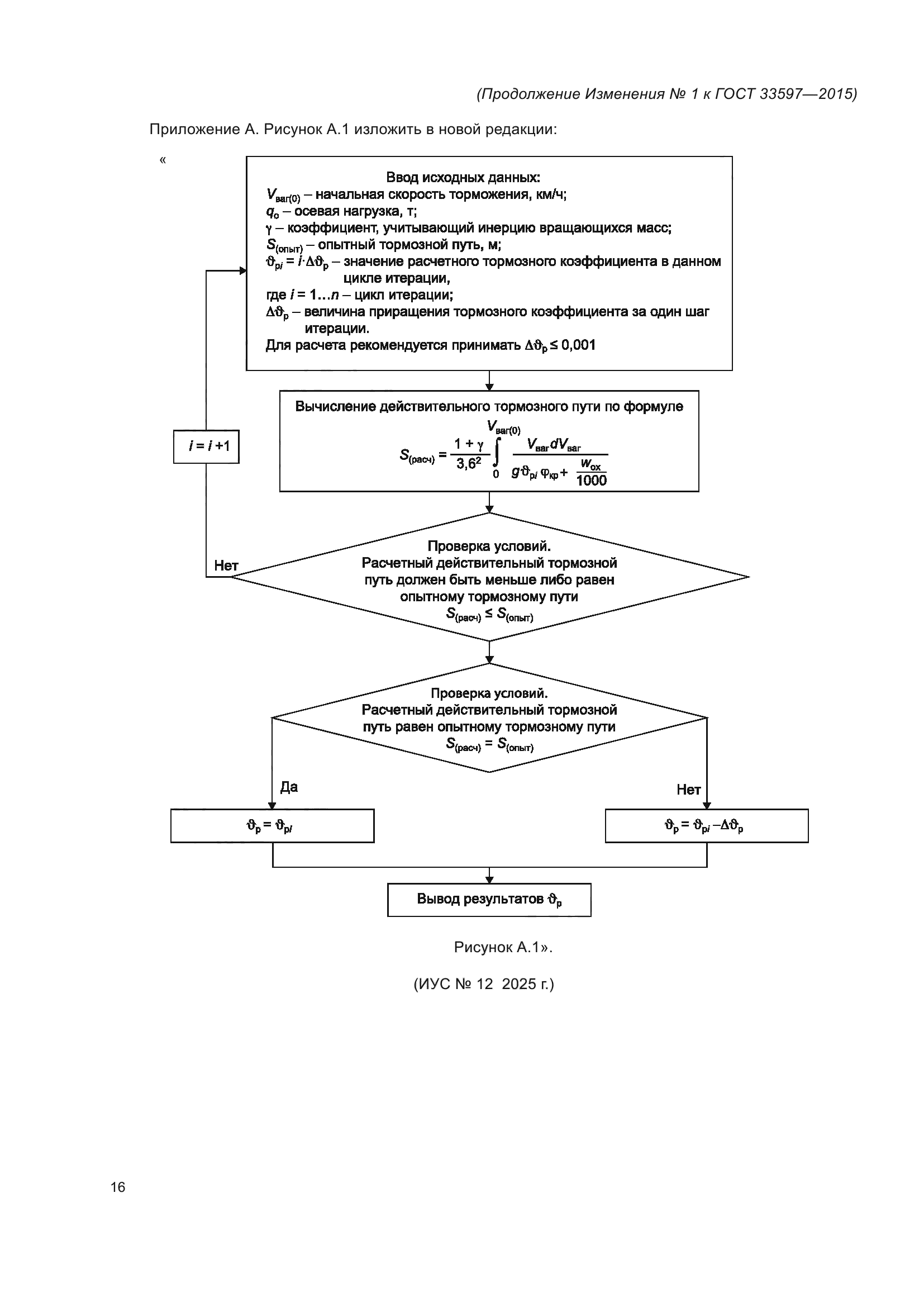
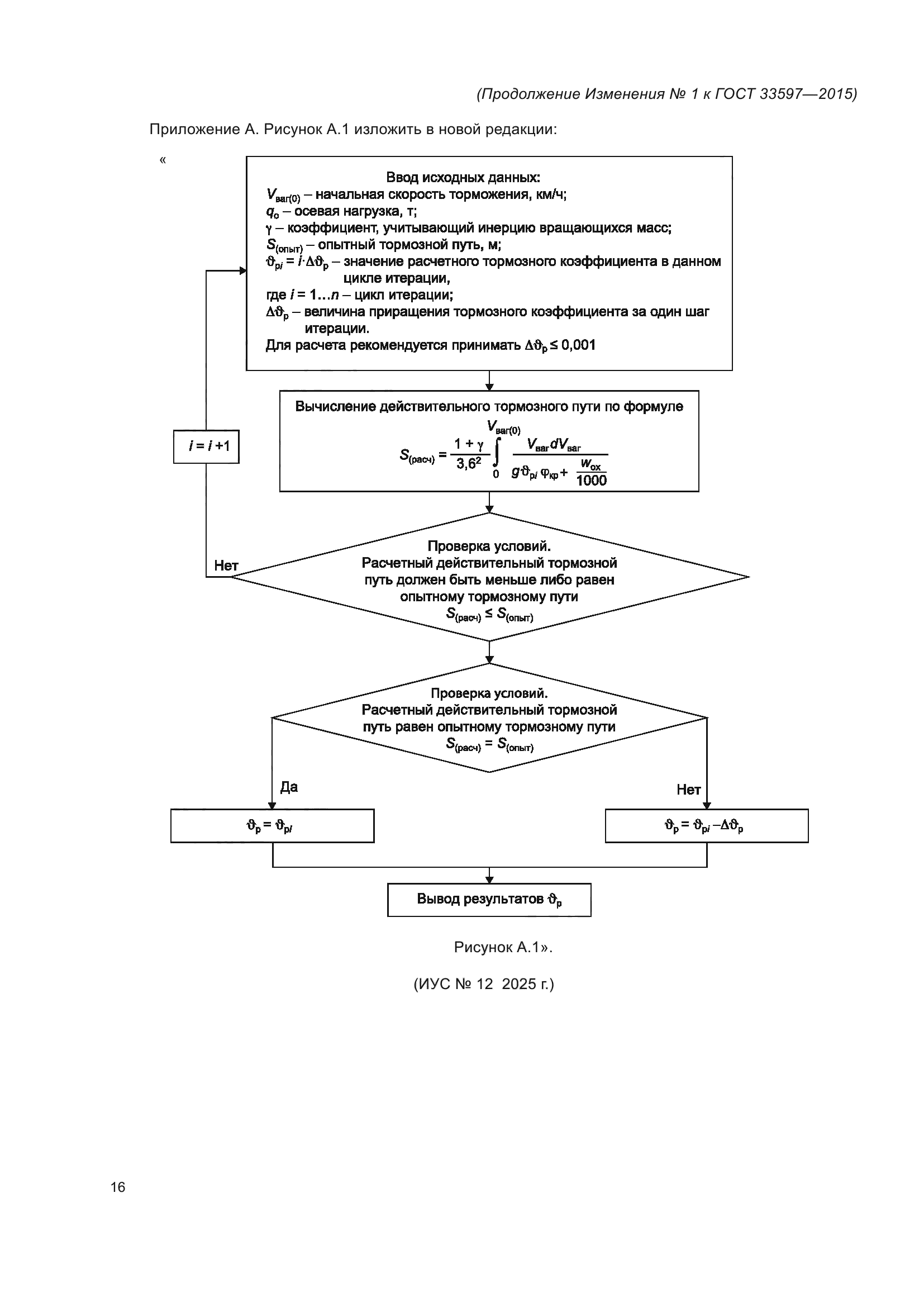
| Приложение №1: | Изменение №1 к ГОСТ 33597-2015 |
| Приложение №2: | Поправка к ГОСТ 33597-2015 |
|