| Обозначение: |  ГОСТ 33539-2015 |
| Статус: | действующий |
| Название рус.: | Карантин растений. Методы выявления и идентификации вируса Т картофеля |
| Название англ.: | Plant quarantine. Methods of detection and identification of Potato virus T |
| Дата актуализации текста: | 01.01.2023 |
| Дата актуализации описания: | 01.07.2023 |
| Дата регистрации: | 29.09.2015 |
| Дата издания: | 25.01.2019 |
| Дата введения: | 01.01.2017 |
| Нормативные ссылки: | ГОСТ 12.1.004-91; ГОСТ 12.1.005-88; ГОСТ 12.1.007-76; ГОСТ 12.1.019-79; ГОСТ 12.4.0049-83; ГОСТ 12.4.021-75; ГОСТ 61-75;ГОСТ OIML R 76-1-2011; ГОСТ 83-79; ГОСТ 1770-74; ГОСТ 1942-86; ГОСТ 2167-76; ГОСТ 2493-75; ГОСТ 3118-77; ГОСТ 4172-76; ГОСТ 4198-75; ГОСТ 4233-77; ГОСТ 4234-77; ГОСТ 6259-75; ГОСТ 6552-80; ГОСТ 6709-72; ГОСТ 9147-80; ГОСТ 11086-76; ГОСТ 12026-76; ГОСТ ИСО/МЭК 17025-2009; ГОСТ 18300-87; ГОСТ 20288-74; ГОСТ 20562-2013; ГОСТ 21240-89; ГОСТ 21507-2013; ГОСТ 23493-79; ГОСТ 26678-85; ГОСТ 28311-89; ГОСТ 29267-91; ГОСТ Р 12.1.019-2009; ГОСТ Р 55878-2013; ГОСТ Р 55329-2012 |
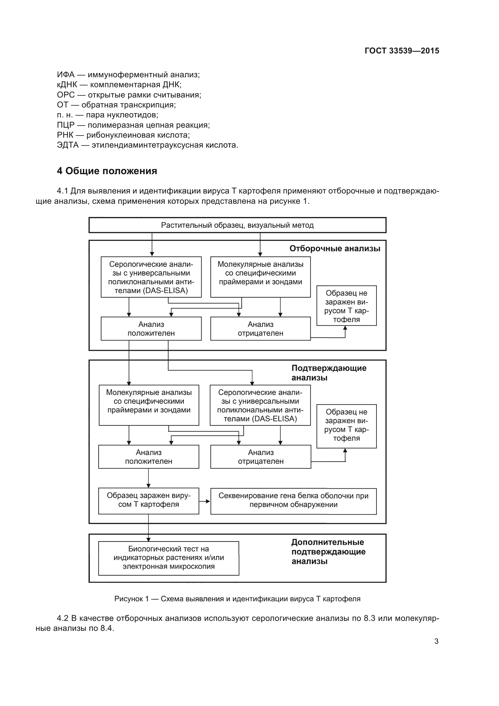
| Область применения: | Настоящий стандарт распространяется на растения картофеля Solanum tuberosum Linnaeus (далее - растения) и устанавливает методы выявления и идентификации (далее - исследование) вируса Т картофеля Potato virus T (далее - вирус Т картофеля) |
| Приложение №1: | Поправка к ГОСТ 33539-2015 |
| Приложение №2: | Поправка к ГОСТ 33539-2015 |
|