Скачать ГОСТ 33702-2015 Системы измерений количества и показателей качества газового конденсата, сжиженного углеводородного газа и широкой фракции легких углеводородов. Общие технические требованияДата актуализации: 01.06.2025 ГОСТ 33702-2015
Системы измерений количества и показателей качества газового конденсата, сжиженного углеводородного газа и широкой фракции легких углеводородов. Общие технические требования
| Обозначение: |  ГОСТ 33702-2015 |
| Статус: | действующий |
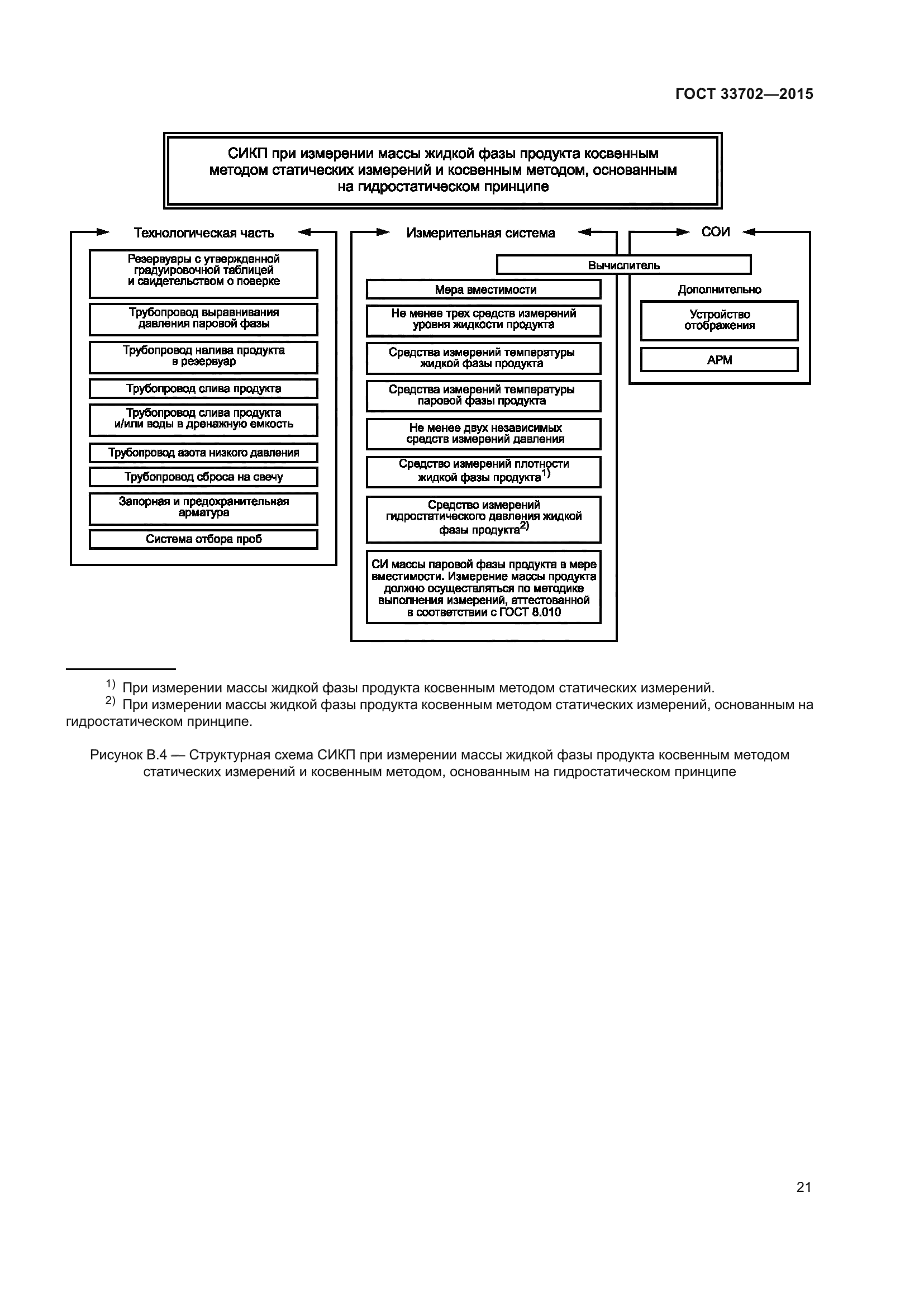
| Название рус.: | Системы измерений количества и показателей качества газового конденсата, сжиженного углеводородного газа и широкой фракции легких углеводородов. Общие технические требования | | Дата актуализации текста: | 01.06.2022 | | Дата актуализации описания: | 01.07.2023 | | Дата регистрации: | 10.12.2015 | | Дата издания: | 14.03.2019 | | Дата введения: | 01.02.2017 | | Нормативные ссылки: | ГОСТ 8.010-2013; ГОСТ 8.586.5-2005; ГОСТ 8.587-2006; ГОСТ 10679-76; ГОСТ 14921-78; ГОСТ 15467-79; ГОСТ 30414-96;ГОСТ ISO 3993-2013;ГОСТ OIML R 76-1-2011; ГОСТ Р 8.563-2009; ГОСТ Р 8.595-2004; ГОСТ Р 54484-2011; ГОСТ Р 55609-2013; ГОСТ Р 53228-2008 | | Область применения: | Настоящий стандарт распространяется на системы измерений количества и показателей качества газового конденсата, сжиженного углеводородного газа, широкой фракции легких углеводородов при ведении учетных операций и устанавливает основные метрологические и технические требования к ним. Настоящий стандарт распространяется на вновь строящиеся и реконструируемые системы измерений количества и показателей качества газового конденсата, сжиженного углеводородного газа, широкой фракции легких углеводородов и применяется при проектировании, изготовлении, монтаже и эксплуатации | |
                                            
|