Скачать ГОСТ Р 56979-2016 Модули фотоэлектрические. Испытания на стойкость к воздействию аммиакаДата актуализации: 01.06.2025 ГОСТ Р 56979-2016
Модули фотоэлектрические. Испытания на стойкость к воздействию аммиака
| Обозначение: |  ГОСТ Р 56979-2016 |
| Статус: | действующий |
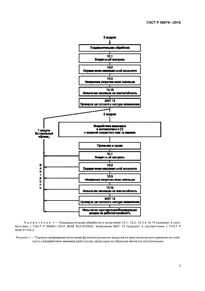
| Название рус.: | Модули фотоэлектрические. Испытания на стойкость к воздействию аммиака | | Дата актуализации текста: | 01.01.2021 | | Дата актуализации описания: | 01.07.2023 | | Дата издания: | 08.08.2016 | | Дата введения: | 01.03.2017 | | Содержит требования: | IEC 62716(2013) | | Нормативные ссылки: | ГОСТ ИСО/МЭК 17025; ГОСТ Р МЭК 61646-2013; ГОСТ Р МЭК 61701; ГОСТ Р МЭК 61730-2; ГОСТ Р 56980 | | Область применения: | Фотоэлектрические модули являются электрическими устройствами, предназначенными для постоянного использования вне помещения в течение всего срока службы. Высококоррозионные влажные условия (например, условия окружающей среды в районе животноводческих предприятий) со временем могут привести к деградации компонентов фотоэлектрических модулей вследствие их взаимодействия с аммиаком (коррозии металлических частей, ухудшению характеристик и деструкции некоторых неметаллических материалов, таких как защитные покрытия и пластики). Указанная деградация приводит к необратимым повреждениям, которые могут нарушить работоспособность и безопасность эксплуатации фотоэлектрических модулей. Настоящий стандарт распространяется на плоские фотоэлектрические модули и устанавливает процедуры испытаний для определения стойкости указанных модулей к воздействию аммиака (NH3). Настоящий стандарт распространяется также на фотоэлектрические модули криволинейной конструкции, если криволинейность конструкции определяется формой внешней конструкции (устройства), в которую встраивается модуль (частью которой является модуль) или функцией, которую модуль выполняет помимо преобразования солнечной энергии, например козырек здания | |
             
|