| Обозначение: |  ГОСТ 32938-2014 |
| Статус: | действующий |
| Название рус.: | Продукция парфюмерно-косметическая. Инверсионно-вольтамперометрический метод определения мышьяка |
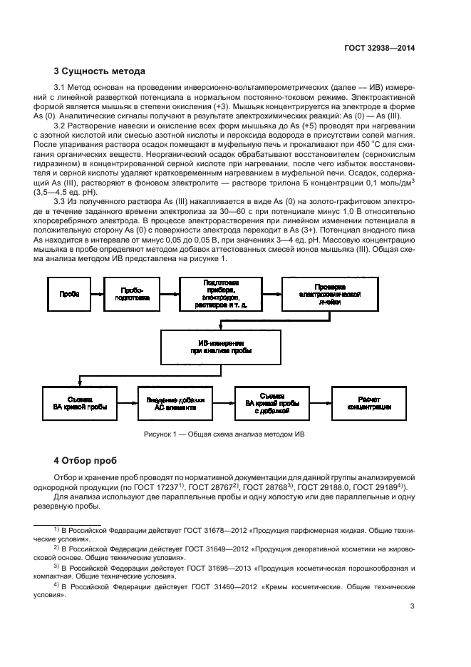
| Дата актуализации текста: | 01.12.2016 |
| Дата актуализации описания: | 01.07.2023 |
| Дата регистрации: | 05.12.2014 |
| Дата издания: | 29.08.2016 |
| Дата введения: | 01.07.2017 |
| Нормативные ссылки: | ГОСТ 12.1.004-91; ГОСТ 12.1.019-79; ГОСТ 12.4.009-83; ГОСТ 12.4.021-75; ГОСТ 1770-74; ГОСТ 2156-76; ГОСТ Р 12.1.019-2009; ГОСТ 2405-88; ГОСТ 4204-77; ГОСТ 4234-77; ГОСТ 4461-77; ГОСТ ИСО 5725-6-2003; ГОСТ 5841-74; ГОСТ 6709-72; ГОСТ 9293-74; ГОСТ 9736-91; ГОСТ 10652-73; ГОСТ 10929-76; ГОСТ 11088-75; ГОСТ 11125-84; ГОСТ 12026-76; ГОСТ 13861-89; ГОСТ 14262-78; ГОСТ 17237-93; ГОСТ 20490-75; ГОСТ 24104-2001; ГОСТ 25336-82; ГОСТ 27460-87; ГОСТ 28165-89; ГОСТ Р ИСО 5725-6-2002; ГОСТ 31678-2012; ГОСТ Р 53228-2008; ГОСТ 28311-89; ГОСТ 28767-90; ГОСТ 28768-90; ГОСТ 29188.0-2014; ГОСТ 29189-91; ГОСТ 29225-91; ГОСТ 29227-91; ГОСТ 31649-2012; ГОСТ 31698-2013; ГОСТ 31460-2012 |
| Область применения: | Настоящий стандарт устанавливает инверсионно-вольтамперометрический метод определения массовой доли (содержания) мышьяка при анализе проб парфюмерно-косметической продукции. Диапазон содержания мышьяка составляет от 0,04 до 30,0 мг/к |
|