| Обозначение: |  ГОСТ Р 56931-2016 |
| Статус: | действующий |
| Название рус.: | Продукты пищевые и продовольственное сырье. Вольтамперометрический метод определения содержания ртути |
| Дата актуализации текста: | 01.01.2021 |
| Дата актуализации описания: | 01.07.2023 |
| Дата издания: | 14.06.2016 |
| Дата введения: | 01.07.2017 |
| Нормативные ссылки: | ГОСТ 12.1.004-91; ГОСТ 12.4.009-83;ГОСТ OIML R 76-1-2011; ГОСТ 1770-74; ГОСТ 2156-76; ГОСТ 4234-77; ГОСТ 5550-74; ГОСТ 5667-65; ГОСТ 6687.0-86; ГОСТ 6709-72; ГОСТ 7269-2015; ГОСТ 7631-2008; ГОСТ 9736-91; ГОСТ 9792-73; ГОСТ 10929-76; ГОСТ 11125-84; ГОСТ 12026-76; ГОСТ 13586.3-2015; ГОСТ 14262-78; ГОСТ 14919-83; ГОСТ 16317-87; ГОСТ ИСО/МЭК 17025-2009; ГОСТ 17536-82; ГОСТ 19908-90; ГОСТ 21400-75; ГОСТ 25336-82; ГОСТ 26313-2014; ГОСТ 26809.1-2014; ГОСТ 26809.2-2014; ГОСТ 27668-88; ГОСТ 28311-89; ГОСТ 28736-90; ГОСТ 29227-91; ГОСТ 31339-2006; ГОСТ 31730-2012; ГОСТ 31807-2012; ГОСТ 32189-2013; ГОСТ Р 8.563-2009; ГОСТ Р 8.753-2011; ГОСТ Р 12.1.019-2009; ГОСТ Р ИСО 5725-6-2002; ГОСТ Р ИСО 6497-2011; ГОСТ Р 52377-2005; ГОСТ Р 52501-2005; ГОСТ Р 53597-2009; ГОСТ Р 54640-2011 |
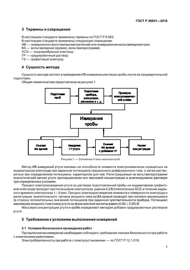
| Область применения: | Настоящий стандарт распространяется на пищевые продукты и продовольственное сырье и устанавливает вольтамперометрический метод определения содержания ртути |
|