| Обозначение: |  ГОСТ Р 56869-2016 |
| Статус: | действующий |
| Название рус.: | Газы углеводородные сжиженные и смеси пропан-пропиленовые. Определение углеводородов газовой хроматографией |
| Дата актуализации текста: | 01.01.2021 |
| Дата актуализации описания: | 01.07.2023 |
| Дата издания: | 30.10.2019 |
| Дата введения: | 01.01.2017 |
| Аутентичен стандартам: | ASTM D 2163-14e1 |
| Нормативные ссылки: | ASTM D 1265;ASTM D 1835;ASTM D 2421;ASTM D 2598;ASTM D 3700;ASTM D 6729;ASTM E 355;АСТМ E 594;АСТМ E 1510 |
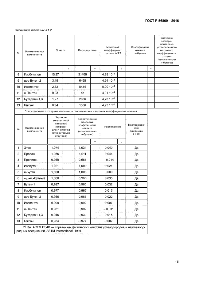
| Область применения: | Настоящий стандарт устанавливает количественное определение индивидуальных углеводородов C1-C5 в сжиженных углеводородных газах (LPG) и смесях пропана и пропилена, за исключением пропилена высокой чистоты. Содержание компонентов определяют в диапазоне от 0,01 % об. до 100 % об |
|