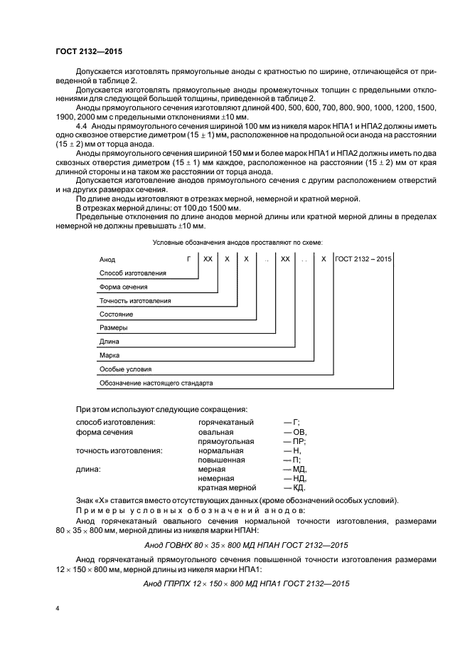
| Обозначение: |  ГОСТ 2132-2015 |
| Статус: | действующий |
| Название рус.: | Аноды никелевые. Технические условия |
| Название англ.: | Nickel anodes. Specifications |
| Дата актуализации текста: | 01.01.2021 |
| Дата актуализации описания: | 01.07.2023 |
| Дата регистрации: | 29.05.2015 |
| Дата издания: | 20.04.2016 |
| Дата введения: | 01.04.2016 |
| Взамен: | ГОСТ 2132-90 |
| Нормативные ссылки: | ГОСТ Р ИСО 2859-1-2007; ГОСТ 166-89; ГОСТ 427-75; ГОСТ 492-2006; ГОСТ 701-89; ГОСТ 1497-84; ГОСТ 3282-74; ГОСТ 3560-73; ГОСТ 6507-90; ГОСТ 6689.1-92; ГОСТ 6689.2-92; ГОСТ 6689.3-92; ГОСТ 6689.5-92; ГОСТ 6689.6-92; ГОСТ 6689.7-92; ГОСТ 6689.10-92; ГОСТ 6689.11-92; ГОСТ 6689.12-92; ГОСТ 6689.13-92; ГОСТ 6689.14-92; ГОСТ 6689.15-92; ГОСТ 6689.16-92; ГОСТ 6689.17-92; ГОСТ 6689.18-92; ГОСТ 6689.19-92; ГОСТ 7502-98; ГОСТ 8026-92; ГОСТ 9557-87; ГОСТ 13047.1-2014; ГОСТ 13047.2-2014; ГОСТ 13047.3-2014; ГОСТ 13047.4-2014; ГОСТ 13047.5-2014; ГОСТ 13047.6-2014; ГОСТ 13047.7-2014; ГОСТ 13047.8-2014; ГОСТ 13047.9-2014; ГОСТ 13047.10-2014; ГОСТ 13047.11-2014; ГОСТ 13047.12-2014; ГОСТ 13047.13-2014; ГОСТ 13047.14-2014; ГОСТ 13047.15-2014; ГОСТ 13047.17-2014; ГОСТ 13047.18-2014; ГОСТ 14192-96; ГОСТ 15846-2002; ГОСТ 18242-72; ГОСТ 18321-73; ГОСТ 19041-85; ГОСТ 22598-93; ГОСТ 24231-80; ГОСТ 24597-81; ГОСТ 25086-2011; ГОСТ 26877-2008; ГОСТ 32597-2013 |
| Область применения: | Настоящий стандарт распространяется на никелевые горячекатаные аноды в виде полос овального и прямоугольного сечений, применяемые для никелирования. Стандарт устанавливает сортамент, технические требования, правила приемки, методы контроля и испытаний, маркировку, упаковку, транспортирование и хранение анодов |
|