| Обозначение: |  ГОСТ 32931-2015 |
| Статус: | действующий |
| Название рус.: | Трубы стальные профильные для металлоконструкций. Технические условия |
| Дата актуализации текста: | 01.01.2021 |
| Дата актуализации описания: | 01.07.2023 |
| Дата регистрации: | 18.06.2015 |
| Дата издания: | 11.03.2016 |
| Дата введения: | 01.09.2016 |
| Нормативные ссылки: | ГОСТ ИСО 10332-2002; ГОСТ 31458-2015; ГОСТ 166-89; ГОСТ 427-75; ГОСТ 1497-84; ГОСТ 3845-75; ГОСТ 6507-90; ГОСТ 7502-98; ГОСТ 7565-81; ГОСТ 7661-67; ГОСТ 8026-92; ГОСТ 9454-78; ГОСТ 10006-80; ГОСТ 10692-2015; ГОСТ 16504-81; ГОСТ 18360-93; ГОСТ 22536.0-87; ГОСТ 22536.1-88; ГОСТ 22536.2-87; ГОСТ 22536.3-88; ГОСТ 22536.4-88; ГОСТ 22536.5-87; ГОСТ 22536.6-88; ГОСТ 22536.7-88; ГОСТ 22536.8-87; ГОСТ 22536.9-88; ГОСТ 22536.11-87; ГОСТ 22536.12-88; ГОСТ 26877-2008; ГОСТ 28548-90 |
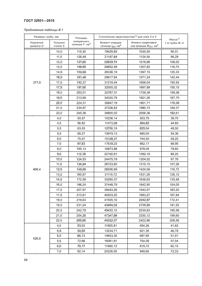
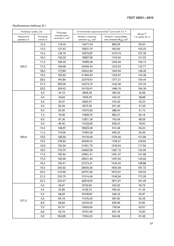
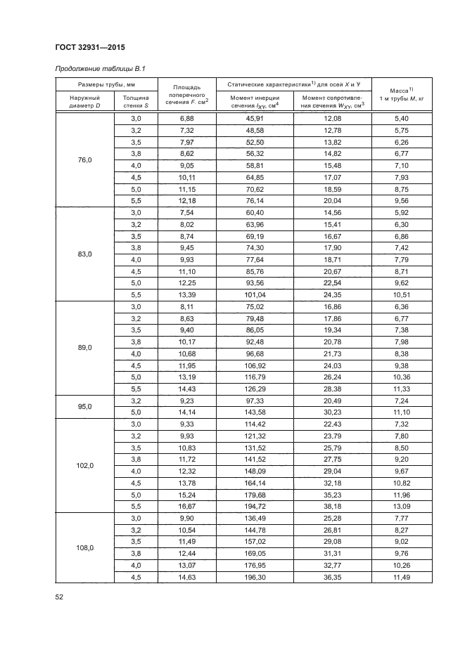
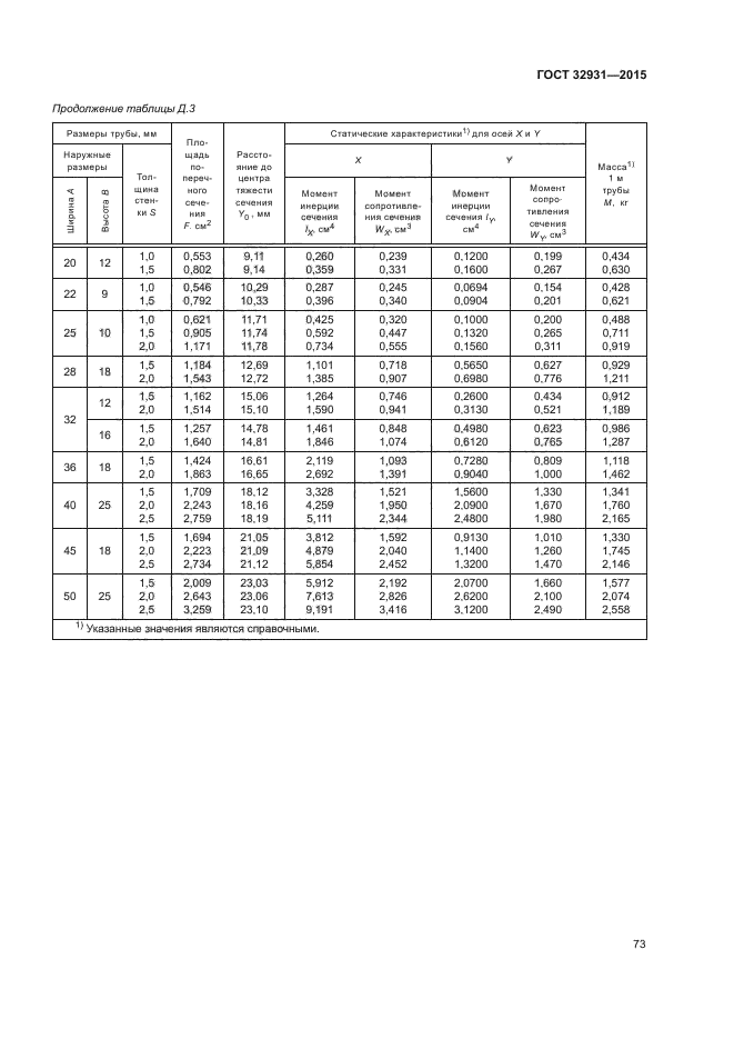
| Область применения: | Настоящий стандарт распространяется на круглые, квадратные, прямоугольные, овальные и плоскоовальные трубы для металлоконструкций из углеродистой и низколегированной стали |
|