| Обозначение: |  ГОСТ 33629-2015 |
| Статус: | действующий |
| Название рус.: | Консервы молочные. Молоко сухое. Технические условия |
| Дата актуализации текста: | 01.01.2021 |
| Дата актуализации описания: | 01.07.2023 |
| Дата регистрации: | 27.10.2015 |
| Дата издания: | 04.07.2017 |
| Дата введения: | 01.07.2016 |
| Нормативные ссылки: | ГОСТ 8.579-2002; ГОСТ 3623-2015; ГОСТ 14192-96; ГОСТ 15846-2002; ГОСТ 23285-78; ГОСТ 23452-79; ГОСТ 25179-2014; ГОСТ 25776-83; ГОСТ 26663-85; ГОСТ 26809.1-2014; ГОСТ 26927-86; ГОСТ 26929-94; ГОСТ 26930-86; ГОСТ 26932-86; ГОСТ 26933-86; ГОСТ 29245-91; ГОСТ 29246-91; ГОСТ 29247-91; ГОСТ 29248-91; ГОСТ 30178-96; ГОСТ 30305.3-95; ГОСТ 30305.4-95; ГОСТ 30347-97; ГОСТ 30538-97; ГОСТ 30711-2001; ГОСТ 31449-2013; ГОСТ 31502-2012; ГОСТ 31628-2012; ГОСТ 31658-2012; ГОСТ 31659-2012; ГОСТ 31709-2012; ГОСТ 31903-2012; ГОСТ 32161-2013; ГОСТ 32163-2013; ГОСТ 32164-2013; ГОСТ 32219-2013; ГОСТ 32901-2014; ГОСТ 32922-2014; ГОСТ 33504-2015 |
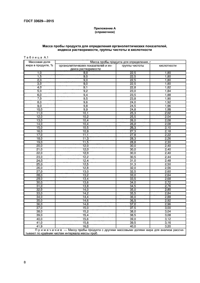
| Область применения: | Настоящий стандарт распространяется на сухое молоко (далее - продукт), получаемое удалением воды путем распылительной сушки из сгущенного пастеризованного обезжиренного или нормализованного, или цельного коровьего молока и предназначенное для непосредственного использования в пищу и промышленной переработки |
| Список изменений: | №0 от 01.08.2016 (рег. 01.08.2016) «Дата введения перенесена» |
| Приложение №1: | Поправка к ГОСТ 33629-2015 |
| Приложение №2: | Поправка к ГОСТ 33629-2015 |
|