| Обозначение: |  ГОСТ 26434-2015 |
| Статус: | заменён |
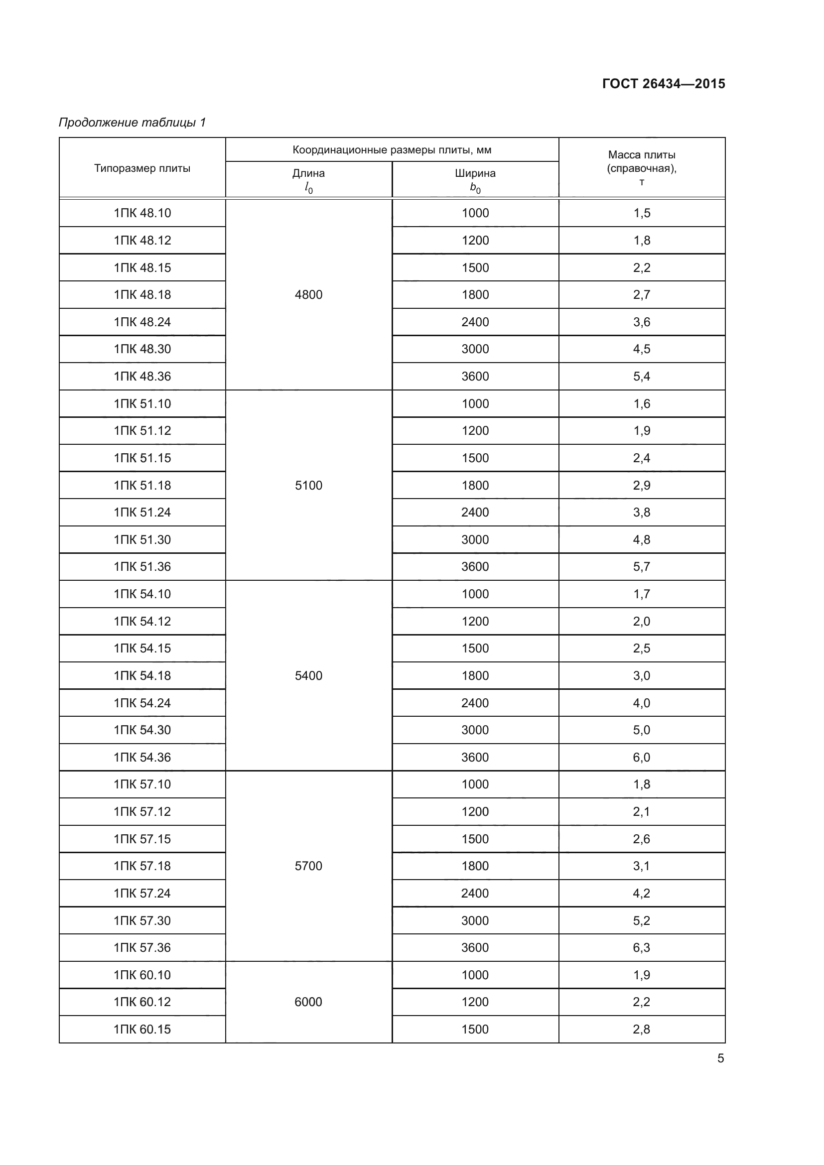
| Название рус.: | Плиты перекрытий железобетонные для жилых зданий. Типы и основные параметры |
| Дата актуализации текста: | 01.06.2022 |
| Дата актуализации описания: | 01.01.2026 |
| Дата регистрации: | 12.11.2015 |
| Дата издания: | 28.11.2019 |
| Дата введения: | 01.01.2017 |
| Дата окончания срока действия: | 01.01.2026 |
| Код ОКП: | 583120 |
| Взамен: | ГОСТ 26434-85 |
| Заменяющий: | ГОСТ 26434-2025 |
| Нормативные ссылки: | ГОСТ 13015; ГОСТ 21779; ГОСТ 23009; ГОСТ 26433.0 |
| Область применения: | Настоящий стандарт устанавливает типы, основные размеры и параметры плит перекрытий, общие технические требования к ним |
| Приложение №1: | Поправка к ГОСТ 26434-2015 |
|