Скачать ГОСТ 33482-2015 Продукты пищевые, сырье продовольственное, комбикорма. Метод определения содержания анаболических стероидов и производных стильбена с помощью высокоэффективной жидкостной хроматографии с масс-спектрометрическим детектированиемДата актуализации: 01.06.2025 ГОСТ 33482-2015
Продукты пищевые, сырье продовольственное, комбикорма. Метод определения содержания анаболических стероидов и производных стильбена с помощью высокоэффективной жидкостной хроматографии с масс-спектрометрическим детектированием
| Обозначение: |  ГОСТ 33482-2015 |
| Статус: | действующий |
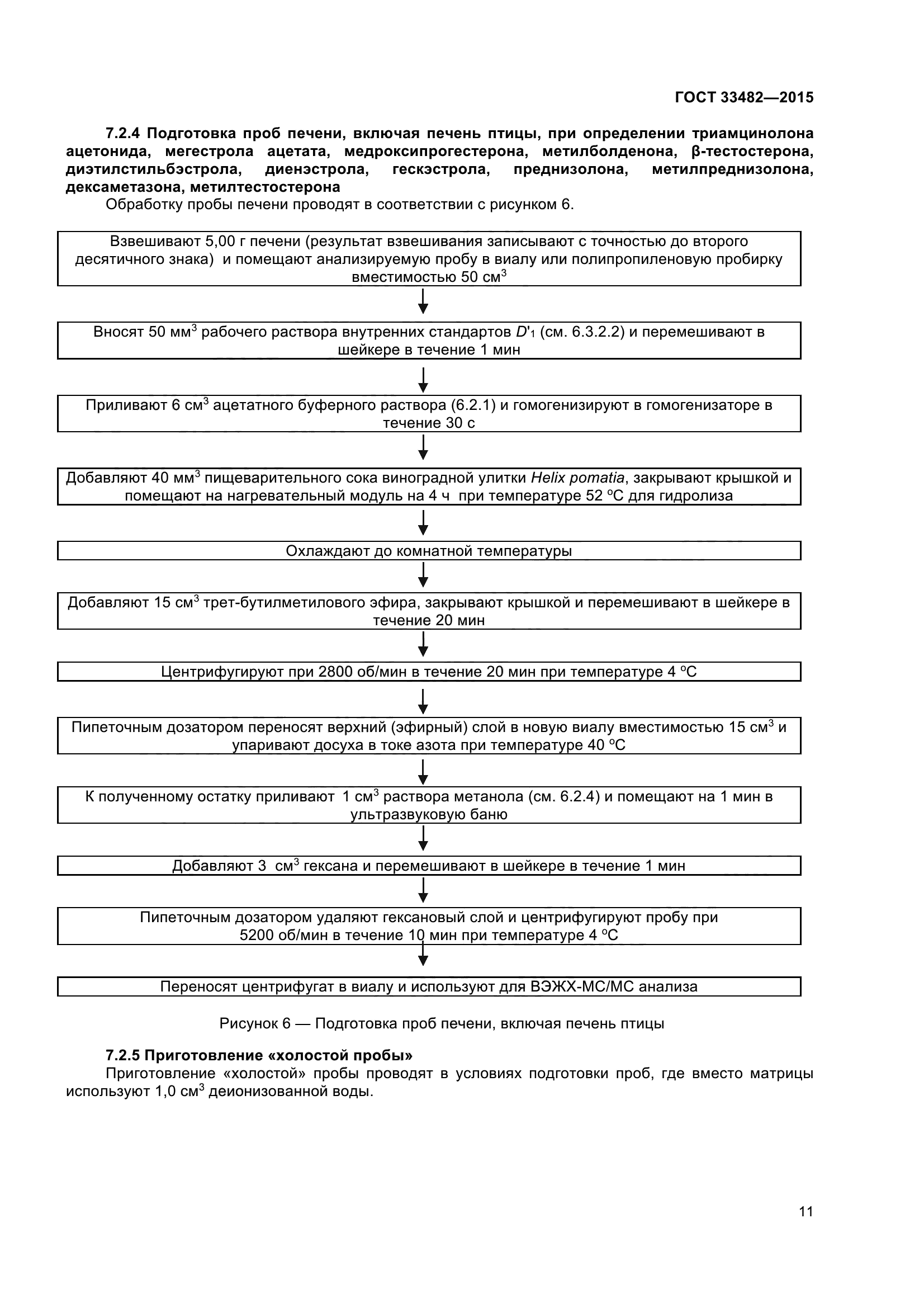
| Название рус.: | Продукты пищевые, сырье продовольственное, комбикорма. Метод определения содержания анаболических стероидов и производных стильбена с помощью высокоэффективной жидкостной хроматографии с масс-спектрометрическим детектированием | | Дата актуализации текста: | 01.06.2024 | | Дата актуализации описания: | 01.07.2023 | | Дата регистрации: | 27.10.2015 | | Дата издания: | 08.02.2016 | | Дата введения: | 01.01.2017 | | Нормативные ссылки: | ГОСТ 12.1.005-88; ГОСТ 12.1.007-76;ГОСТ OIML R 76-1-2011; ГОСТ 61-75; ГОСТ 199-78; ГОСТ 1770-74; ГОСТ 2603-79; ГОСТ ИСО 5725-6-2003; ГОСТ 6709-72; ГОСТ 6995-77; ГОСТ 9293-74; ГОСТ 22300-76; ГОСТ 24104-2001; ГОСТ 25336-82; ГОСТ 29227-91; ГОСТ 31467-2012; ГОСТ Р ИСО 5725-6-2002; ГОСТ Р ИСО 6497-2011; ГОСТ Р 53228-2008; ГОСТ 13496.0-2016; ГОСТ 31339-2006; ГОСТ 7269-2015 | | Область применения: | Настоящий стандарт распространяется на пищевые продукты и непереработанную пищевую продукцию животного происхождения в части мяса, в том числе из мяса птицы, субпродуктов (печень), комбикорма и устанавливает метод высокоэффективной жидкостной хроматографии с масс-спектрометрическим детектированием (далее - ВЭЖХ-МС/МС) для определения содержания анаболических стероидов и производных стильбена в диапазоне измерений: - для альфа - тренболона, бетта - тренболона в мясе - от 0,05 до 5,00 мкг/кг; - меленгестрол ацетата, альфа - нортестостерона, бетта - нортестостерона, альфа - зеараланола, бетта - зеараланола, альфа - зеараленола в мясе - от 0,2 до 5,0 мкг/кг; - альфа - тренболона, бетта - тренболона, альфа - зеараланола, бетта - зеараланола, альфа - зеараленола в печени - от 0,5 до 30,0 мкг/кг; - альфа - нортестостерона, бетта - нортестостерона в печени - от 2,0 до 30,0 мкг/кг; - гексэстрола, диэтилстильбестрола, мегестрол ацетата, медрокси-прогестерона, метилболденона, метилтестостерона, бетта - тестостерона, преднизолона, метилпреднизолона, дексаметазона в мясе, печени и комбикорме - от 0,5 до 30,0 мкг/кг | | Список изменений: | №0 от 19.04.2017 (рег. 19.04.2017) «Дата введения перенесена» №1 от 01.02.2019 (рег. 04.10.2018) «» | | Приложение №1: | Изменение №1 к ГОСТ 33482-2015 | | Приложение №2: | Поправка к ГОСТ 33482-2015 | | Приложение №3: | Поправка к ГОСТ 33482-2015 | | Приложение №4: | Поправка к ГОСТ 33482-2015 | | Приложение №5: | Поправка к ГОСТ 33482-2015 | |
                         
Изменение №1 к ГОСТ 33482-2015
| Обозначение: | Изменение №1 к ГОСТ 33482-2015 |
| Дата введения: | 01.02.2019 |
  
Поправка к ГОСТ 33482-2015
| Обозначение: | Поправка к ГОСТ 33482-2015 |
| Дата введения: | 20.04.2017 |

Поправка к ГОСТ 33482-2015
| Обозначение: | Поправка к ГОСТ 33482-2015 |
| Дата введения: | 06.09.2019 |

Поправка к ГОСТ 33482-2015
| Обозначение: | Поправка к ГОСТ 33482-2015 |
| Дата введения: | 07.02.2020 |

Поправка к ГОСТ 33482-2015
| Обозначение: | Поправка к ГОСТ 33482-2015 |
| Дата введения: | 15.02.2024 |
|