Скачать ГОСТ Р 56691-2015 Безопасность потребительских товаров. Руководящие указания для поставщиков и распространителей продукцииДата актуализации: 01.06.2025 ГОСТ Р 56691-2015
Безопасность потребительских товаров. Руководящие указания для поставщиков и распространителей продукции
| Обозначение: |  ГОСТ Р 56691-2015 |
| Статус: | действующий |
| Название рус.: | Безопасность потребительских товаров. Руководящие указания для поставщиков и распространителей продукции | | Дата актуализации текста: | 01.01.2021 | | Дата актуализации описания: | 01.01.2021 | | Дата издания: | 27.11.2019 | | Дата введения: | 01.09.2016 | | Область применения: | Настоящий стандарт представляет собой практическое руководство для производителей и поставщиков продукции по оценке и управлении безопасностью потребительских товаров и содержит приложения, предназначенные для оценки рисков и управления рисками, для соблюдения необходимых требований. Настоящий стандарт позволяет: - выявлять, оценивать, снижать или устранять опасность; - управлять рисками за счет их снижения до допустимых уровней; - сформулировать предназначенные для потребителей предупреждения об опасности или инструкции, необходимые для безопасного использования или утилизации потребительских товаров. Настоящий стандарт предназначен для применения потребительских товаров, а также для решения вопросов безопасности, касающихся других видов продукции | |
                                        
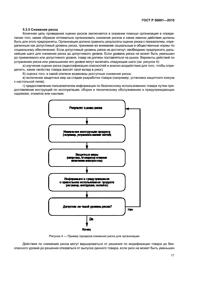
|