Скачать ГОСТ 33006.2-2014 Нефтяная и газовая промышленность. Оборудование для роторного бурения. Часть 2. Контроль и классификация применяемых элементов бурового инструмента. Общие технические требования и методы контроляДата актуализации: 01.06.2025
| ||||||||||||||||||||||||||||||
| Обозначение: | ![]() ГОСТ 33006.2-2014 |
| Статус: | действующий |
| Название рус.: | Нефтяная и газовая промышленность. Оборудование для роторного бурения. Часть 2. Контроль и классификация применяемых элементов бурового инструмента. Общие технические требования и методы контроля |
| Дата актуализации текста: | 01.06.2022 |
| Дата актуализации описания: | 01.01.2021 |
| Дата регистрации: | 05.12.2014 |
| Дата издания: | 15.12.2015 |
| Дата введения: | 01.01.2016 |
| Содержит требования: | ISO 10407-2:2008 |
| Нормативные ссылки: | ГОСТ ISO 9000-2011 |
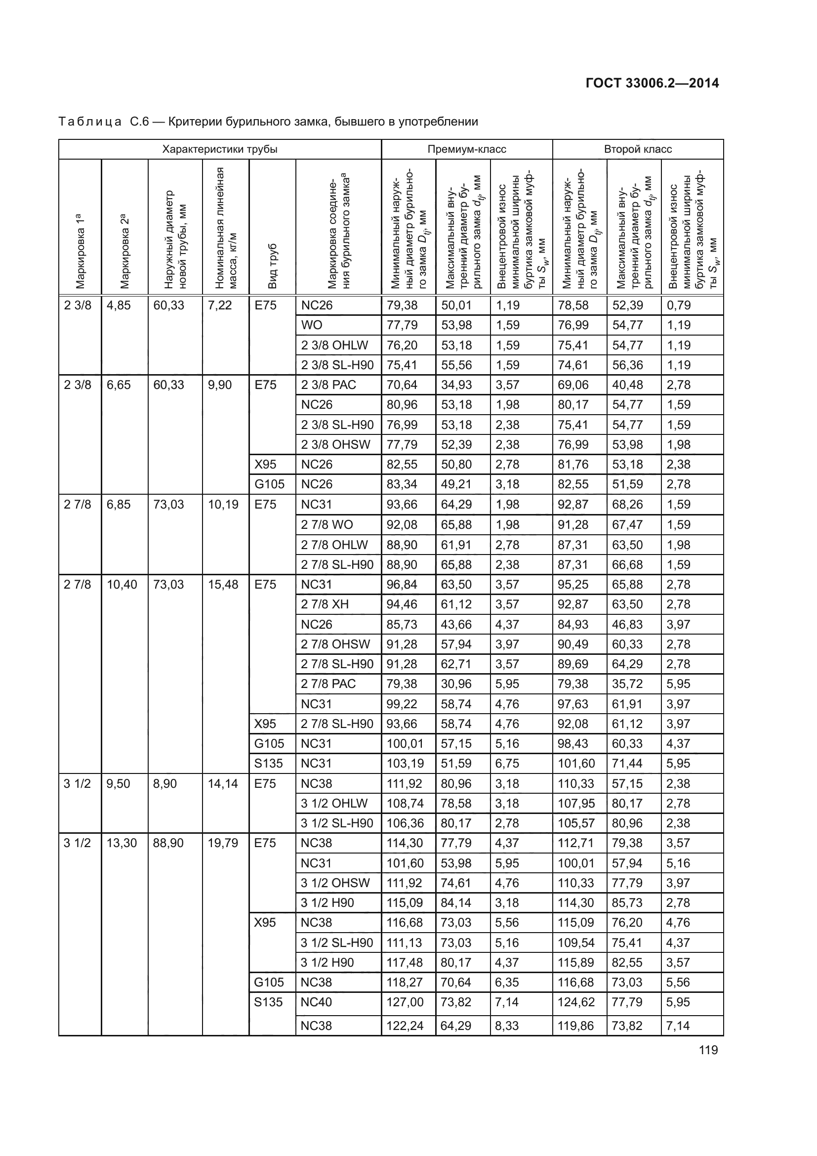
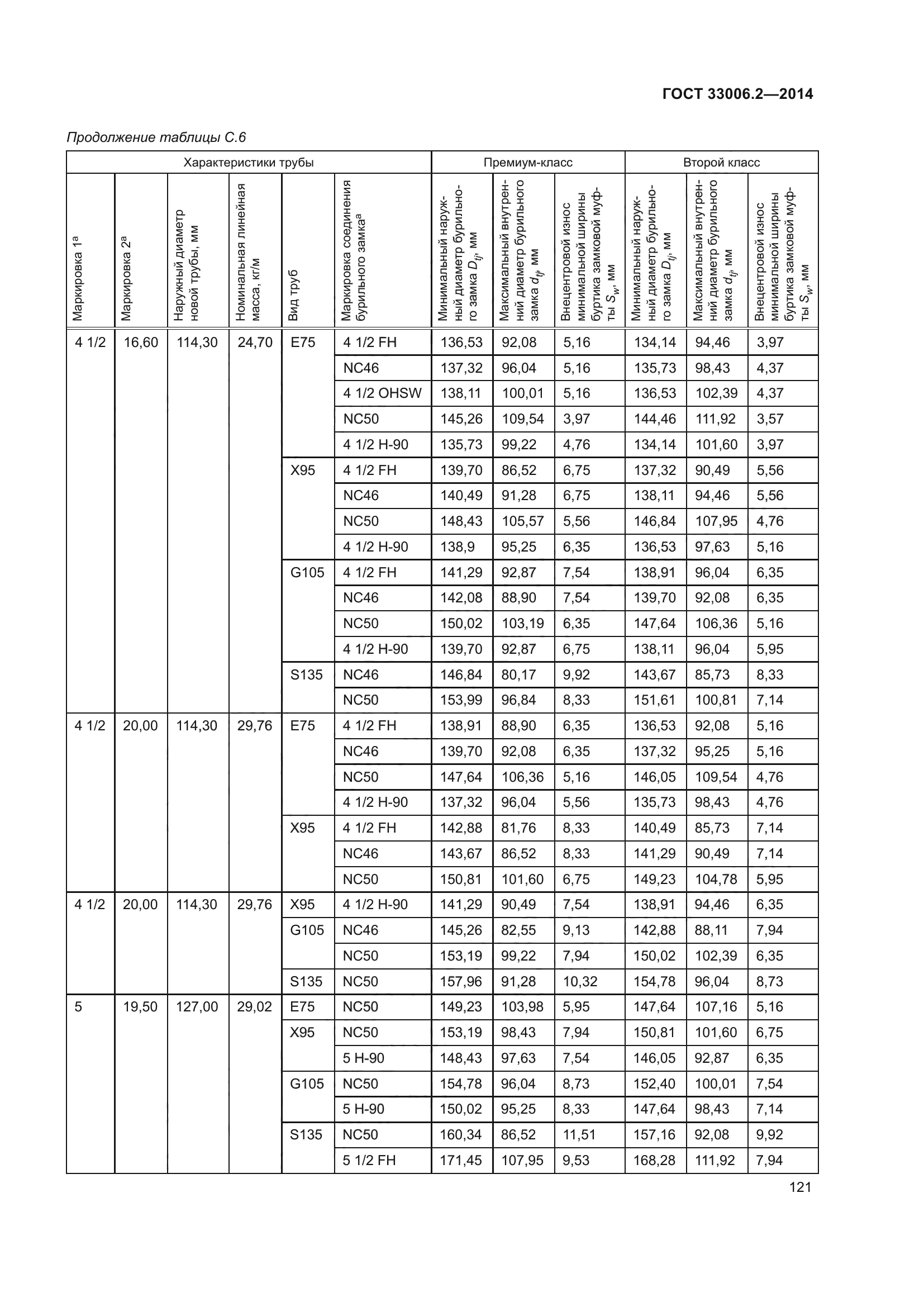
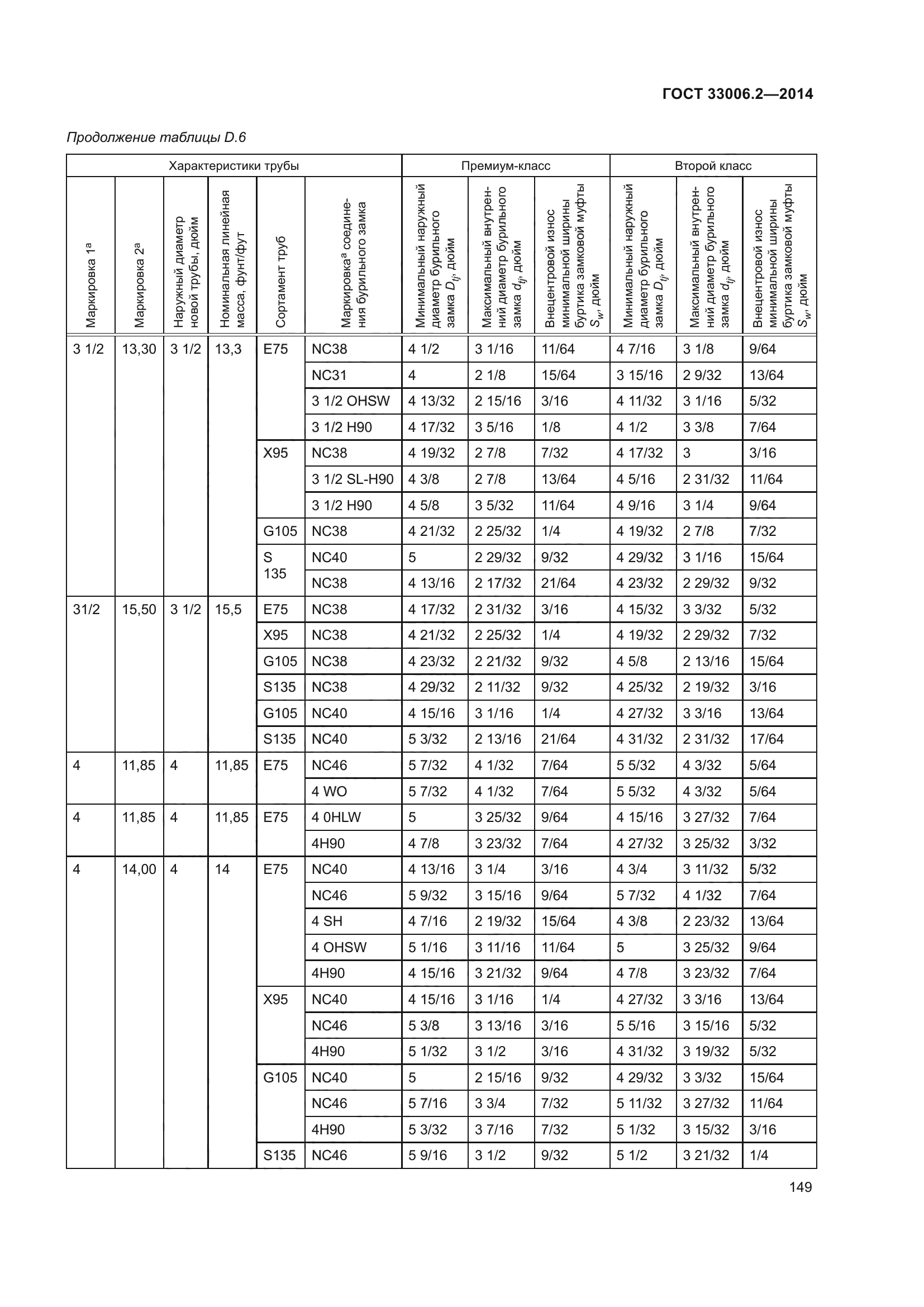
| Область применения: | Настоящий стандарт устанавливает требования по контролю для каждого уровня проверок и процедуры для контроля и испытаний элементов бурильной колонны, бывших в эксплуатации. В соответствии с настоящим стандартом бурильная колонна включает следующие элементы: тело бурильной трубы, резьбовое упорное соединение, утяжеленную и толстостенную бурильные трубы, переводники бурильной колонны. Кроме приведенных выше элементов в компоновку низа бурильной колонны (КНБК) могут включаться калибраторы, центраторы, стабилизаторы, расширители, промежуточные опоры для УБТ, обратные клапаны, фильтры, шламометаллоуловители, амортизаторы, протекторные кольца, средства наклонно-направленного бурения, керноприемные устройства и другое специальное оборудование |
| Приложение №1: | Поправка к ГОСТ 33006.2-2014 |

































































































































































































| Обозначение: | Поправка к ГОСТ 33006.2-2014 |
| Дата введения: | 14.03.2022 |
