Скачать ГОСТ Р ИСО 10303-55-2015 Системы автоматизации производства и их интеграция. Представление данных об изделии и обмен этими данными. Часть 55. Интегрированный обобщенный ресурс. Процедурное и гибридное представлениеДата актуализации: 01.06.2025 ГОСТ Р ИСО 10303-55-2015
Системы автоматизации производства и их интеграция. Представление данных об изделии и обмен этими данными. Часть 55. Интегрированный обобщенный ресурс. Процедурное и гибридное представление
| Обозначение: |  ГОСТ Р ИСО 10303-55-2015 |
| Статус: | действующий |
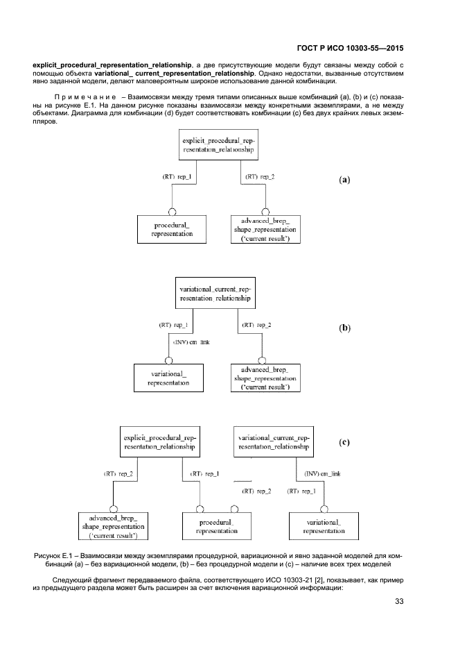
| Название рус.: | Системы автоматизации производства и их интеграция. Представление данных об изделии и обмен этими данными. Часть 55. Интегрированный обобщенный ресурс. Процедурное и гибридное представление | | Дата актуализации текста: | 26.02.2016 | | Дата актуализации описания: | 01.07.2023 | | Дата издания: | 29.05.2020 | | Дата введения: | 01.10.2016 | | Аутентичен стандартам: | ISO 10303-55:2005 | | Нормативные ссылки: | ISO/IEC 8824-1;ISO 10303-1;ISO 10303-11;ISO 10303-41;ISO 10303-42;ISO 10303-43;ISO 10303-108 | | Область применения: | последовательности конструкционных операций, используемых для их построения. Представление самих операций в настоящем стандарте не рассматривается; механизмы, представленные в настоящем стандарте, позволяют использовать для этой цели объектные типы данных, определенные в других стандартах комплекса 10303. Требования настоящего стандарта распространяются на:- спецификацию последовательностей конструкционных операций для генерации любого типа представления модели в явном виде; - иерархическое структурирование конструкционных последовательностей;- встраивание элементов, определенных в явном виде, в конструкционные последовательности для представления гибридных моделей;- использование определений объекта representation_item из других стандартов комплекса 10303 для представления конструкционных операций для экземпляров объектов representation_item;- определение двойственного представления с помощью связи процедурной модели с явно заданной моделью «текущего результата», которая исполняет роль репрезентативного - примера параметрического семейства моделей, определенных с помощью процедурной модели;- связь информации об основополагающих принципах конструкции с процедурной моделью;- идентификацию в процедурной модели определенных в явном виде элементов, которые выбираются с помощью интерактивного отбора из визуального отображения модели в передающей системе;- идентификацию в процедурной модели конструкционных операций, которые могут быть изъяты в целях упрощения модели;- конкретизацию вышеизложенных возможностей для процедурного представления моделей формы | |
                                          
|