Скачать ГОСТ 33276-2015 Продукция соковая. Методы определения относительной плотностиДата актуализации: 01.06.2025 ГОСТ 33276-2015
Продукция соковая. Методы определения относительной плотности
| Обозначение: |  ГОСТ 33276-2015 |
| Статус: | действующий |
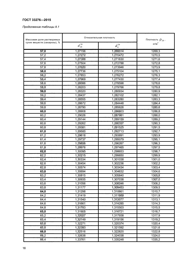
| Название рус.: | Продукция соковая. Методы определения относительной плотности | | Дата актуализации текста: | 01.01.2021 | | Дата актуализации описания: | 01.07.2023 | | Дата регистрации: | 18.06.2015 | | Дата издания: | 18.02.2016 | | Дата введения: | 01.01.2017 | | Нормативные ссылки: | ГОСТ 8.315-97; ГОСТ 12.1.005-88; ГОСТ 12.1.007-76; ГОСТ 12.1.019-79;ГОСТ OIML R 76-1-2011; ГОСТ 450-77; ГОСТ 2768-84;ГОСТ ISO 3696-2013; ГОСТ 4204-77; ГОСТ 4220-75; ГОСТ 5556-81; ГОСТ ИСО 5725-1-2003; ГОСТ ИСО 5725-6-2003; ГОСТ Р ИСО 5725-1-2002; ГОСТ Р ИСО 5725-6-2002; ГОСТ Р 12.1.019-2009; ГОСТ Р 52501-2005;ГОСТ ISO 7886-1-2011; ГОСТ 12026-76; ГОСТ ИСО/МЭК 17025-2009; ГОСТ 22524-77; ГОСТ 25336-82; ГОСТ 26313-2014; ГОСТ 26671-2014; ГОСТ 29169-91 | | Область применения: | Настоящий стандарт распространяется на фруктовые и овощные соки, нектары, сокосодержащие напитки, фруктовые и овощные концентрированные соки, пюре и концентрированные пюре, морсы и концентрированные морсы (далее - соковая продукция) и устанавливает: - пикнометрический метод определения (измерения) относительной плотности d в диапазоне от 1,0000 до 1,4000 и определения массовой доли растворимых сухих веществ в диапазоне от 0,2 % до 80,0 % на основе полученных измерений; - метод определения (измерения) плотности с помощью цифрового плотномера в диапазоне от 1,0000 г/см куб (1000 кг/м куб) до 1,4000 г/см куб (1400 кг/м куб) | |
                     
|