| Обозначение: |  ГОСТ 33259-2015 |
| Статус: | действующий |
| Название рус.: | Фланцы арматуры, соединительных частей и трубопроводов на номинальное давление до PN 250. Конструкция, размеры и общие технические требования |
| Дата актуализации текста: | 01.12.2024 |
| Дата актуализации описания: | 01.06.2024 |
| Дата регистрации: | 27.03.2015 |
| Дата издания: | 08.02.2016 |
| Дата введения: | 01.04.2016 |
| Код ОКП: | 379900 |
| Взамен: | ГОСТ 12815-80; ГОСТ 12816-80; ГОСТ 12817-80; ГОСТ 12818-80; ГОСТ 12819-80; ГОСТ 12820-80; ГОСТ 12821-80; ГОСТ 12822-80 |
| Нормативные ссылки: | ГОСТ 2.301-68; ГОСТ 9.014-78; ГОСТ 9.303-84; ГОСТ 12.1.007-76; ГОСТ 12.1.044-89; ГОСТ 356-80; ГОСТ 977-88; ГОСТ 1215-79; ГОСТ 1412-85; ГОСТ 1536-76; ГОСТ 1577-93; ГОСТ 2590-2006; ГОСТ 2591-2006; ГОСТ 4433-76; ГОСТ 5773-90; ГОСТ 7293-85; ГОСТ 7350-77; ГОСТ 7505-89; ГОСТ 8479-70; ГОСТ 9399-81; ГОСТ 9454-78; ГОСТ 9833-73; ГОСТ 14140-81; ГОСТ 14192-96; ГОСТ 14637-89; ГОСТ 14782-86; ГОСТ 14792-80; ГОСТ 15180-86; ГОСТ 20072-74; ГОСТ 20700-75; ГОСТ 21120-75; ГОСТ 22727-88; ГОСТ 23304-78; ГОСТ 23055-78; ГОСТ 24507-80; ГОСТ 24856-2014; ГОСТ 25054-81; ГОСТ 26645-85; ГОСТ 28759.1-90; ГОСТ 28759.2-90; ГОСТ 28759.3-90; ГОСТ 28759.4-90; ГОСТ 28759.5-90; ГОСТ 30893.1-2002; ГОСТ 31901-2013; ГОСТ 33260-2015; ГОСТ Р 53464-2009; ГОСТ 28759.6; ГОСТ 28759.7; ГОСТ 28759.8; ГОСТ 28759.9; ГОСТ 28759.10; ГОСТ 28759.11; ГОСТ 32569; ГОСТ 33857; ГОСТ 34233.4; ГОСТ 34347–2017; ГОСТ 34655; ГОСТ 1050; ГОСТ 4543; ГОСТ 5520; ГОСТ 5632; ГОСТ 6032; ГОСТ 19281; ГОСТ 25660 |
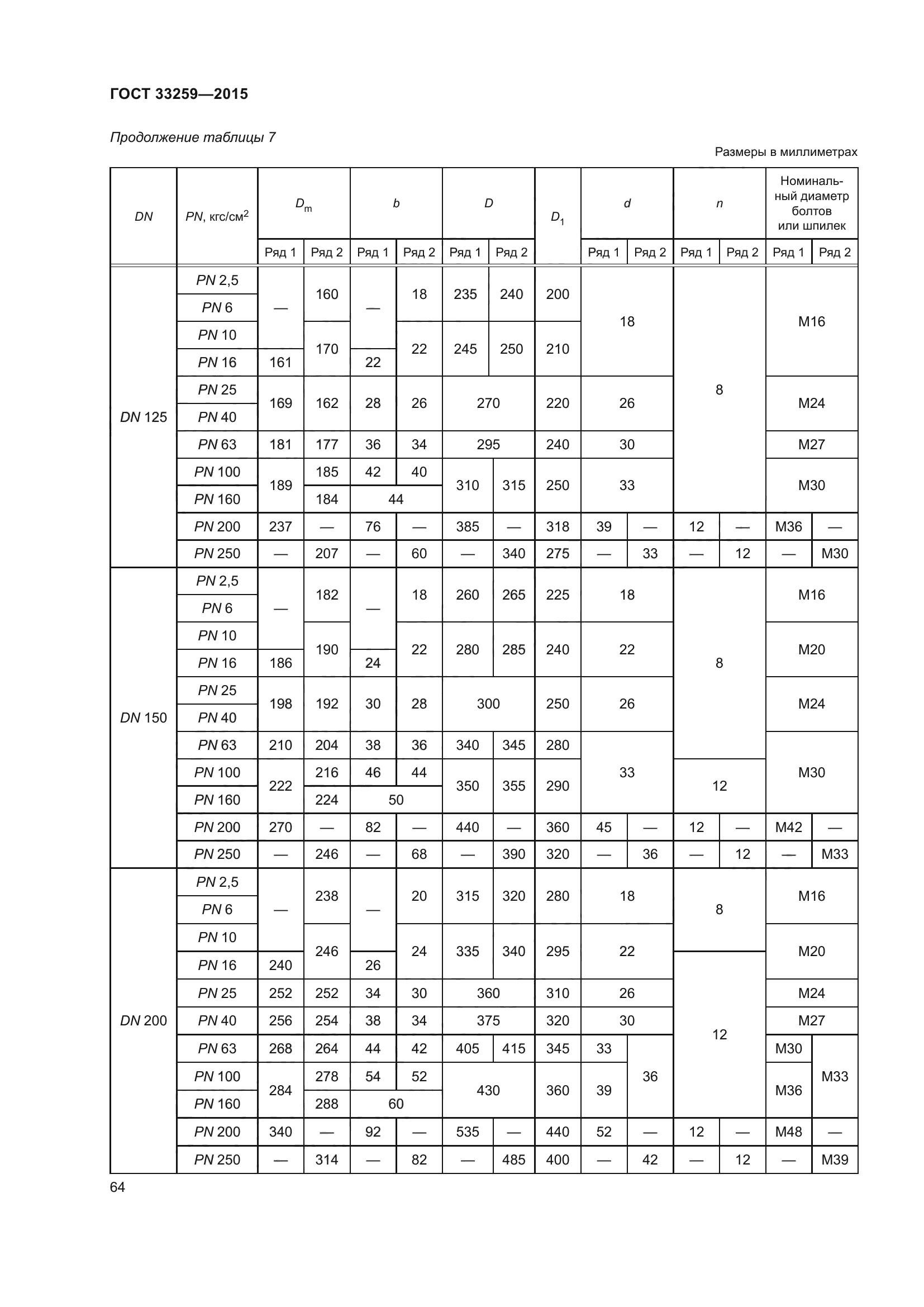
| Область применения: | Настоящий стандарт распространяется на присоединительные фланцы трубопроводной арматуры (далее - арматуры), соединительных частей и трубопроводов, а также на присоединительные фланцымашин, оборудования, приборов, патрубков, аппаратов и резервуаров на номинальное давление до PN 250 и устанавливает конструкцию и размеры стальных и чугунных фланцев, определяет типы фланцев, типы форм уплотнительных поверхностей, устанавливает технические требования к изготовлению, маркировке, испытаниям и контролю |
| Список изменений: | №0 от 24.04.2017 (рег. 24.04.2017) «Дата введения перенесена» №0 от 29.08.2016 (рег. 29.08.2016) «Дата введения перенесена» |
| Приложение №1: | Изменение к ГОСТ 33259-2015. Поправка к изменению |
| Приложение №2: | Изменение №1 к ГОСТ 33259-2015 |
| Приложение №3: | Поправка к ГОСТ 33259-2015 |
| Приложение №4: | Поправка к ГОСТ 33259-2015 |
| Приложение №5: | Поправка к ГОСТ 33259-2015 |
| Приложение №6: | Поправка к ГОСТ 33259-2015 |
|