| Обозначение: |  ГОСТ 31610.11-2014 |
| Статус: | действующий |
| Название рус.: | Взрывоопасные среды. Часть 11. Оборудование с видом взрывозащиты искробезопасная электрическая цепь i |
| Дата актуализации текста: | 01.06.2021 |
| Дата актуализации описания: | 01.01.2026 |
| Дата регистрации: | 14.11.2014 |
| Дата издания: | 26.01.2016 |
| Дата введения: | 01.12.2016 |
| Дата окончания срока действия: | 01.01.2027 |
| Заменяющий: | ГОСТ 31610.11-2025 |
| Содержит требования: | IEC 60079-11(2011) |
| Нормативные ссылки: | ГОСТ 31610.11-2014; ГОСТ 14254-96; ГОСТ 27473-87; ГОСТ 31610.7-2012; ГОСТ 31610.0-2014; ГОСТ 31610.35-1-2014;ГОСТ IEC 60127-1-2010 |
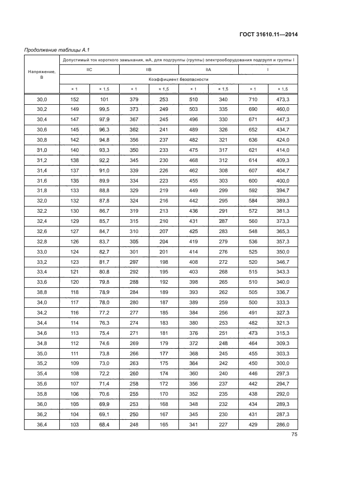
| Область применения: | Настоящий стандарт устанавливает требования к конструкции и испытанию искробезопасного оборудования, предназначенного для применения во взрывоопасных средах, а также связанного оборудования, предназначенного для подключения к искробезопасным цепям, входящим во взрывоопасные среды. Данный вид взрывозащиты применим к электрооборудованию, в котором электрические цепи не способны вызвать взрыв окружающих взрывоопасных сред. Настоящий стандарт также распространяется на электрооборудование или части электрооборудования, находящиеся вне взрывоопасной среды или имеющие другой вид взрывозащиты из перечисленных в ГОСТ 31610.0, в тех случаях, когда искробезопасность электрических цепей во взрывоопасной среде может зависеть от конструкции и исполнения такого электрооборудования или его частей. С помощью данного стандарта оценивают возможность применения во взрывоопасных средах электрических цепей, подвергающихся воздействию взрывоопасной среды |
| Приложение №1: | Изменение №1 к ГОСТ 31610.11-2014 |
| Приложение №2: | Поправка к ГОСТ 31610.11-2014 |
| Приложение №3: | Поправка к ГОСТ 31610.11-2014 |
|